Đề thi giải toán trên Máy tính cầm tay lớp 9 tỉnh Bến Tre năm 2012 - 2013 môn Toán
SỞ GIÁO DỤC VÀ ĐÀO TẠO
|
ĐỀ THI GIẢI TOÁN TRÊN MÁY TÍNH CẦM TAY
|
Bài 1:
Cho đa thức P(x) = x5 + ax4 + bx3 + cx2 + dx + e có giá trị là: -14; -9; 0; 13; 30 khhi x lần lượt nhận các giá trị là 1; 2; 3; 4; 5.
a. Xác định các hệ số a, b, c, d và e của P(x)
b. Với các giá trị a, b, c, d và e vừa tìm được của P(x). Tính P(17), P(25), P(59) và P(157).
Bài 2:
a. Cho số tự nhiên có dạng
chia hết cho 7. Tìm các chữ số x, y, z của n sao cho n lớn nhất.
b. Cho số chính phương có dạng
. Tìm các chữ số c, d của Q biết rằng tổng các chữ số của Q chia hết cho 5.
Bài 3:
a. Tìm các số nguyên dương m, n với m lớn nhất và thỏa mãn 5m2 - 12mn + 12n2 + 4m = 1648.
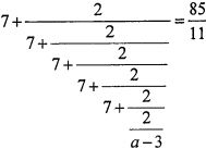
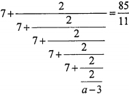
b. Tìm a biết rằng: 
Bài 4:
a. một người gửi tiền tiết kiệm lựa chọn 1 trong 2 phương án:
Cách 1: Gửi kì hạn 3 tháng, lãi suất 1,2% một tháng.
Cách 2: Gửi kì hạn 6 tháng, lãi suất 1,24% một tháng.
- Hỏi cách chọn nào để có lãi suất lớn hơn sau 5 năm
- Với cách đã chọn, nếu muốn sau 5 năm rút cả gốc và lãi được số tiền không ít hơn 10 triệu đồng thì cần gửi số tiền ban đầu là bao nhiêu.
b. Tính tổng:![]()
Bài 5:
Cho dãy số u1, u2, ..., un,.... biết rằng un+2 = 2un - 3 (nếu n lẻ), un+2 = 3un - 2 (nếu n chẵn) và u19 = 515, u20 = 19684.
a. Tìm u1, u2.
b. Tính tổng S44 = u1 + u2 + u3 + ... + u43 + u44.
Bài 6:
Cho tam giác ABC có AB = 4,8cm, BC = 10,2cm; AC = 9cm
a. Tính độ dài đường cao AH và đường phân giác AD của tam giác ABC.
b. Tính số đo góc HAD.
c. Kẻ đường phân giác BE của tam giác ABC. Tính diện tích của tam giác CED.