Đề thi giải toán trên Máy tính cầm tay tỉnh Vĩnh Phúc năm 2009 - 2010 môn Toán THPT
SỞ GIÁO DỤC & ĐÀO TẠO
|
KỲ THI GIẢI TOÁN TRÊN MTCT BẬC TRUNG HỌC
|
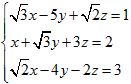
Bài 1.
Tính gần đúng nghiệm của hệ phương trình sau: 
Bài 2.
Tính gần đúng giá trị của hàm số
tại x = 0,5.
Bài 3.
Tính gần đúng giá trị lớn nhất, giá trị nhỏ nhất của hàm số: ![]()
Bài 4.
Tìm toạ độ giao điểm của đồ thị hai hàm số sau: ![]()
Bài 5.
Cho hàm số
có đồ thị là (C). Tính gần đúng các hệ số a và b để đường thẳng y = ax + b là tiếp tuyến của đồ thị (C) tại điểm có hoành độ x = π/7.
Bài 6.
Cho tam giác ABC có hai góc A = 45o, B = 30o. Gọi D và E là hai điểm tương ứng trên hai cạnh AB và AC sao cho góc ADE = 60o và diện tích tam giác ADE bằng nửa diện tích tam giác ABC. Tính gần đúng tỉ số AD/AB.
Bài 7.
Cho tam giác ABC cân tại A và nội tiếp trong đường tròn bán kính R = 2009,2010. Tính gần đúng giá trị lớn nhất độ dài đường cao BH của tam giác ABC.
Bài 8.
Cho tứ diện ABCD có AB = 6√5; CD = 6√7 và các cạnh còn lại bằng √174.
a. Tính gần đúng bán kính mặt cầu ngoại tiếp tứ diện ABCD.
b. Tính gần đúng thể tích của khối tứ diện ABCD.
Bài 9.
Cho hai số thực x, y thoả mãn hệ điều kiện: 
Tính gần đúng giá trị nhỏ nhất của P = x2 + y2.
Bài 10.
Cho một viên gạch hình lục giác đều có 2 màu như hình vẽ (các hình tròn cùng một màu, phần còn lại là màu khác). Hãy tính gần đúng diện tích phần gạch xọc cùng màu biết rằng AB = a = 15cm.
