Giao diện mới của VnDoc Pro: Dễ sử dụng hơn - chỉ tập trung vào lớp bạn quan tâm. Vui lòng chọn lớp mà bạn quan tâm: Lưu và trải nghiệm
Đóng
Điểm danh hàng ngày
  • Hôm nay +3
  • Ngày 2 +3
  • Ngày 3 +3
  • Ngày 4 +3
  • Ngày 5 +3
  • Ngày 6 +3
  • Ngày 7 +5
Bạn đã điểm danh Hôm nay và nhận 3 điểm!
Nhắn tin Zalo VNDOC để nhận tư vấn mua gói Thành viên hoặc tải tài liệu Hotline hỗ trợ: 0936 120 169

Đề thi giải toán trên máy tính cầm tay cấp THCS huyện Chợ Gạo năm 2011 - 2012

Loại File: Word
Phân loại: Tài liệu Tính phí

PHÒNG GIÁO DỤC VÀ ĐÀO TẠO
UBND HUYỆN CHỢ GẠO

ĐỀ CHÍNH THỨC

ĐỀ THI GIẢI TOÁN TRÊN MÁY TÍNH CẦM TAY BẬC THCS
CẤP HUYỆN - NĂM HỌC 2011 - 2012

Thời gian làm bài: 150 phút – Ngày thi: 06/12/2011


Bài 1:

a/ Phân tích biểu thức sau ra ba thừa số: x4 - 6x3 + 27x2 - 54x + 32

b/ Chứng minh rằng: n4 - 6n3 + 27n2 - 54n + 32 là số chẵn với mọi số nguyên n.

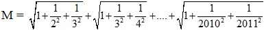
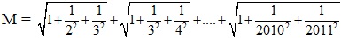
Bài 2: Tính giá trị biểu thức: (đáp số ở dạng phân số tối giản)

Đề thi giải toán trên máy tính cầm tay cấp THCS huyện Chợ Gạo năm 2011 - 2012

Bài 3:

Để đắp 60m đê chống lũ cần có 100 người. Nhóm thanh niên nam đắp 5m/người, nhóm thanh niên nữ đắp 3m/người, nhóm học sinh đắp 0,2m/người. Tính số người của mổi nhóm?

Bài 4:

Cho biết đa thức P(x) = x4 + mx3 - 55x2 + nx - 156 chia hết cho x - 2 và chia hết cho x - 3. Hãy tìm giá trị của m, n rồi tìm tất cả các nghiệm của đa thức.

Bài 5:

Tìm tất cả các cặp số nguyên dương x, y thoả mãn phương trình: x6 - x3y + y2 = 43828

Bài 6:

Nếu hai tổ học sinh cùng làm vệ sinh một sân trường thì sau 1 giờ 30 phút sẽ xong. Nếu để tổ thứ nhứt làm trong 20 phút và tổ thứ hai làm trong 15 phút thì được 1/5 sân trường. Hỏi nếu mổi tổ làm riêng thì phải bao lâu mới xong?

Bài 7:

Cho tam giác ABC, trung tuyến AD và phân giác BE vuông góc với nhau cắt nhau tại F. Biết SΔEDF = 14022011 cm2. Tính diện tích tam giác ABC?

Bài 8:

Cho đường tròn tâm O bán kính R = 3,15cm. Từ một điểm A ở ngoài đường tròn, kẻ hai tiếp tuyến AB và AC (B và C thuộc đường tròn (O)). Cho biết OA = a = 7,85cm.

a/ Tính góc BOC?

b/ Tính diện tích S của phần mặt phẳng giới hạn bởi hai tiếp tuyến AB, AC và cung nhỏ BC.

Bài 9:

Cho đường tròn tâm O, đường kính AB = 13 cm. Dây CD có độ dài 12 cm vuông góc với AB tại H.

a/ Tính độ dài HA, HB.

b/ Gọi M, N thứ tự là hình chiếu của H trên AC, BC. Tính diện tích tứ giác CMHN.

Bài 10:

Cho tứ giác lồi ABCD. Các tia AB và DC cắt nhau tại E, các tia BC và AD cắt nhau tại F. Tính góc tạo bởi hai tia phân giác của góc AED và CFD. Biết góc BAD = 75o24'18'' và góc BCD = 115o28'26''.

Chọn file muốn tải về:
Đóng Chỉ thành viên VnDoc PRO/PROPLUS tải được nội dung này!
Đóng
79.000 / tháng
Đặc quyền các gói Thành viên
PRO
Phổ biến nhất
PRO+
Tải tài liệu Cao cấp 1 Lớp
30 lượt tải tài liệu
Xem nội dung bài viết
Trải nghiệm Không quảng cáo
Làm bài trắc nghiệm không giới hạn
Mua cả năm Tiết kiệm tới 48%
Xác thực tài khoản!

Theo Nghị định 147/2024/ND-CP, bạn cần xác thực tài khoản trước khi sử dụng tính năng này. Chúng tôi sẽ gửi mã xác thực qua SMS hoặc Zalo tới số điện thoại mà bạn nhập dưới đây:

Số điện thoại chưa đúng định dạng!
Số điện thoại này đã được xác thực!
Bạn có thể dùng Sđt này đăng nhập tại đây!
Lỗi gửi SMS, liên hệ Admin
Sắp xếp theo
🖼️

Thư viện Học liệu

Xem thêm
🖼️

Gợi ý cho bạn

Xem thêm