Đề thi giải toán trên Máy tính cầm tay lớp 12 THPT tỉnh Thái Nguyên năm 2010 - 2011
Nhằm giúp các bạn chuẩn bị thật tốt kiến thức để làm bài thi đạt hiệu quả cao, Vndoc.com xin giới thiệu: Đề thi giải toán trên Máy tính cầm tay lớp 12 THPT tỉnh Thái Nguyên năm 2010 - 2011.
Đề thi giải toán trên Máy tính:
SỞ GIÁO DỤC VÀ ĐÀO TẠO
|
ĐỀ THI CẤP TỈNH GIẢI TOÁN TRÊN MÁY TÍNH CẦM TAY
|
ĐỀ THI MÔN: TOÁN
Bài 1:
Tìm gần đúng giá trị đạo hàm cấp 16 của hàm số f(x) = sinx tại x = 100109.π/9 (qui ước: f'(x) là đạo hàm cấp 1 của f(x); f'(f'(x)) là đạo hàm cấp 2 của f(x); f'(f'(f'(x))) là đạo hàm cấp 3 của f(x), …. ).
Bài 2:
Tính gần đúng (độ, phút, giây) các nghiệm của phương trình: 9cos3x - 5sin3x = 4
Bài 3:
Gọi A và B là các điểm cực đại và cực tiểu của đồ thị hàm số
. Tính gần đúng khoảng cách AB.
Bài 4:
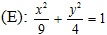
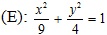
Trong mặt phẳng với hệ toạ độ Oxy cho elíp
và đường thẳng (d): 3x + 4y = 5. Tính gần đúng toạ độ các giao điểm của (E) và (d).
Bài 5:
Cho hình chóp S.ABCD có đáy ABCD là hình chữ nhật với các cạnh AB = 6cm, AD = 7cm, cạnh bên SA vuông góc với mặt phẳng (ABCD) và SA = 9cm.
Tính gần đúng diện tích toàn phần của hình chóp S.ABCD và bán kính mặt cầu ngoại tiếp hình chóp đó.
Bài 6:
Tính với độ chính xác cao nhất (Chỉ viết kết quả)
a) Tìm giá trị của x từ phương trình sau:

b) Tính:
![]()
c) Cho biết sinα = 0,2569 (0 < α < 90o)
Tính:
![]()
d) Tính: ![]()
Bài 7:
Tính gần đúng giá trị lớn nhất và giá trị nhỏ nhất của hàm số
với x thuộc [3; 6].
Bài 8:
Cho tam giác ABC có A(4; 5), B(-6; 7) và C(-8; -9). Tính gần đúng bán kính đường tròn ngoại tiếp tam giác ABC.
Bài 9:
Tính gần đúng giá trị của a và b (a 0) nếu đường thẳng y = ax + b đi qua điểm M(-2; 1) và là tiếp tuyến của Parabol y2 = 7x.
Bài 10:
Cho tứ diện DABC có AB vuông góc BC, AB = 5cm, BC = 7cm, các mặt bên (DAB), (DBC) và (DCA) cùng tạo với mặt đáy (ABC) góc 600. Tính gần đúng thể tích khối tứ diện đó.
ĐỀ THI MÔN: SINH HỌC
Câu 1. (3,0 điểm)
Lai 2 cá thể đều dị hợp tử 2 cặp gen, mỗi gen trên 1 NST thường. Tại vùng sinh sản trong cơ quan sinh dục của cá thể đực có 4 tế bào A, B, C, D phân chia liên tiếp nhiều đợt để hình thành các tế bào sinh dục sơ khai, sau đó tất cả đều qua vùng sinh trưởng và tới vùng chín để hình thành giao tử. Số giao tử có nguồn gốc từ tế bào A sinh ra bằng tích số của các tế bào sinh dục sơ khai do tế bào A và tế bào B sinh ra. Số giao tử do các tế bào có nguồn gốc từ tế bào C sinh ra gấp đôi số giao tử có nguồn gốc từ tế bào A. Số giao tử do các tế bào có nguồn gốc từ tế bào D sinh ra đúng bằng số tế bào sinh dục sơ khai có nguồn gốc từ tế bào A. Tất cả các giao tử đều tham gia thụ tinh nhưng chỉ có 80% đạt kết quả. Tính ra mỗi kiểu tổ hợp giao tử đã thu được 6 hợp tử. Nếu thời gian phân chia tại vùng sinh sản của các tế bào A, B, C, D bằng nhau thì tốc độ phân chia của tế bào nào nhanh hơn và nhanh hơn bao nhiêu lần?
Câu 2. (3,0 điểm)
Tổng hàm lượng ADN của tế bào sinh tinh trùng và các tế bào sinh trứng ở ruồi giấm là 68pg (picrogam). Tổng hàm lượng ADN có trong tất cả các tinh trùng được tạo ra là nhiều hơn tổng hàm lượng ADN trong tất cả các tế bào trứng được tạo thành là 126pg. Biết tất cả các tinh trùng và trứng đều được thụ tinh, hàm lượng ADN trong mỗi tế bào của ruồi giấm ở trạng thái chưa nhân đôi là 2pg
a. Xác định số lần nguyên phân liên tiếp của mỗi tế bào sinh dục đực và tế bào sinh dục cái ban đầu (các tế bào này đã sinh ra tế bào sinh dục con để từ đó sinh ra tinh trùng và trứng nói trên
b. Nếu tất cả các hợp tử được hình thành trải quá quá trình nguyên phân liên tiếp như nhau và tổng hàm lượng ADN chứa trong tất cả các tế bào con được sinh ra sau những lần nguyên phân ấy là 256pg thì mỗi hợp tử đã nguyên phân liên tiếp mấy lần.
Câu 3. (2,0 điểm)
Ba hợp tử của một loài, lúc chưa nhân đôi số lượng NST đơn trong mỗi tế bào bằng 20. Hợp tử 1 có số đợt nguyên phân bằng 1/3 số lần nguyên phân của hợp tử 2. Hợp tử 2 có số đợt nguyên phân liên tiếp bằng 50% số đợt nguyên phân của hợp tử 3. Số lượng NST đơn lúc chưa nhân đôi trong tất cả các tế bào con sinh ra từ 3 hợp tử bằng 5480.
a. Tính số đợt nguyên phân liên tiếp của mỗi hợp tử ?
b. Số lượng NST đơn được tạo ra từ nguyên liệu môi trường tế bào đã cung cấp cho mỗi hợp tử để nguyên phân là bao nhiêu.
Câu 4. (2,0 điểm)
Hai phân tử mARN được phiên mã từ 2 gen trong một vi khuẩn (Vi khuẩn A). Phân tử mARN thứ nhất có U = 2G và A - X=300 ribônuclêôtit. Phân tử mARN thứ hai có X = 40%, U=30% số ribônuclêôtit của phân tử.
Hai gen sao ra các phân tử mARN này đều dài 5100Ǻ. Gen thứ nhất có hiệu số giữa G và một loại nuclêôtit khác là 10% số nuclêôtit của gen. Tổng số nuclêôtit loại A của 2 gen là 1650.
a. Tính số lượng các nuclêôtit môi trường nội bào cần cung cấp để tạo nên các gen này trong các vi khuẩn mới được sinh ra. Biết rằng vi khuẩn chứa gen này nguyên phân bình thường 2 lần liên tiếp.
b. Tính số lượng mỗi loại ribônuclêôtit trong mỗi phân tử mARN?
Câu 5. (2,0 điểm)
Một mARN được tổng hợp từ dung dịch có chứa 80% ađênin và 20% uraxin. Nếu các bazơ nitơ được phân bố ngẫu nhiên, hãy xác định tỷ lệ phân bố các bộ ba trên mARN trên.
Câu 6. (2,0 điểm)
Cho 2.000 tế bào sinh hạt phấn, kiểu gen Ab/aB. Quá trình giảm phân của các tế bào sinh hạt phấn này đã có 400 tế bào xảy ra hoán vị gen.
a. Tính số giao tử mỗi loại được sinh ra từ số tế bào trên?
b. Tính tần số hoán vị gen và khoảng cách giữa các gen trên NST bằng bao nhiêu?
c. Nếu tần số hoán vị gen của loài là 15% sẽ có bao nhiêu tế bào xảy ra hoán vị gen?
Câu 7. (2,0 điểm)
Xét 4 gen liên kết trên một nhiễm sắc thể, mỗi gen qui định 1 tính trạng. Cho một cá thể dị hợp tử 4 cặp gen (AaBbCcDd) lai phân tích với cơ thể đồng hợp tử lặn, FB thu được 1000 các thể gồm 8 phân lớp kiểu hình như sau:
| Kiểu hình | Số lượng | Kiểu hình | Số lượng |
| aaBbCcDd | 42 | aaBbccDd | 6 |
| Aabbccdd | 43 | AabbCcdd | 9 |
| AaBbCcdd | 140 | AaBbccdd | 305 |
| aabbccDd | 145 | aabbCcDd | 310 |
Xác định trật tự và khoảng cách giữa các gen.
Câu 8. (2,0 điểm)
Trong một cá thể giả định, con cái thân bè, lông trắng, thẳng được lai với con đực thân mảnh, lông đen, quăn tạo ra F1 thân mảnh, lông trắng, thẳng. Cho con cái F1 giao phối với con đực thân bè, lông đen, quăn thu được đời sau:
| Thân mảnh, lông trắng, thẳng Thân mảnh, lông đen, thẳng Thân mảnh, lông đen, quăn Thân bè, lông trắng, quăn Thân mảnh, lông trắng, quăn Thân bè, lông đen, quăn Thân bè, lông đen, thẳng Thân bè, lông trắng, thẳng |
169 19 301 21 8 172 6 304 |
Hãy lập bản đồ di truyền xác định trật tự các gen và khoảng cách giữa chúng.
Câu 9. (2,0 điểm)
Tần số xuất hiện đột biến a- (mất khả năng tổng hợp chất a) là 2 × 10-6 cho một thế hệ và tần số đột biến b- là 8 × 10-5. Nếu thể đột biến mang đồng thời hai đột biến a-b- thì nó sẽ xuất hiện với tần số bao nhiêu.