Đề thi giáo viên dạy giỏi môn Toán cấp THCS Phòng GD&ĐT Tam Nông, Phú Thọ năm học 2016 - 2017
Đề thi giáo viên giỏi môn Toán cấp THCS
Đề thi giáo viên dạy giỏi môn Toán cấp THCS Phòng GD&ĐT Cẩm Khê, Phú Thọ năm học 2016 - 2017. Đề thi gồm có 4 câu hỏi tự luận với thời gian làm bài là 150 phút. Phần đáp án cùng thang điểm chi tiết đã được chúng tôi cập nhật đầy đủ và chính xác vì vậy quý thầy cô có thể tự đối chiếu và đánh giá kết quả bài làm của chính mình.
Đề thi giáo viên giỏi môn Thể dục trường THCS Số 1 Phú Nhuận, Lào Cai năm học 2013 - 2014
Đề thi giáo viên giỏi môn Sinh - Địa trường THCS Số 1 Phú Nhuận, Lào Cai năm học 2013 - 2014
PHÒNG GIÁO DỤC VÀ ĐÀO TẠO TAM NÔNG
HỘI THI GIÁO VIÊN DẠY GIỎI THCS
NĂM HỌC 2016 - 2017
ĐỀ THI KIỂM TRA NĂNG LỰC
Thời gian làm bài 150 phút, không kể thời gian giao nhận đề
(Bao gồm thời gian phần nhận thức chung và kiến thức bộ môn)
PHẦN KIẾN THỨC BỘ MÔN TOÁN
Câu 1: (2,0 điểm)
a) Phát biểu các bước giải phương trình chứa ẩn ở mẫu?
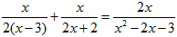
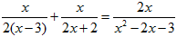
b) Áp dụng giải phương trình sau: ![]()
Câu 2: (2,0 điểm)
a) Tìm số nguyên x để phân thức
có giá trị nguyên?
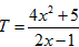
b) Tính giá trị của biểu thức: ![]()
Câu 3: (2,0 điểm) Cho tam giác ABC cân tại A. Trên cạnh AB lấy điểm D, trên cạnh AC lấy điểm E sao cho BD = AE. Kẻ DK // AC (K € BC).
a) Chứng minh tam giác BDK là tam giác cân.
b) Gọi M là trung điểm của DE. Chứng minh ΔAME = ΔKMD rồi suy ra 3 điểm A, M, K thẳng hàng.
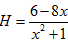
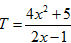
Câu 4: (1,0 điểm) Tìm GTNN, GTLN của biểu thức: ![]()
ĐÁP ÁN ĐỀ THI GIÁO VIÊN DẠY GIỎI MÔN TOÁN CẤP THCS



Lưu ý: Trên đây chỉ là giải sơ lược. Thí sinh có nhiều cách giải khác nhau, nếu đúng giám khảo cho điểm tương ứng của phần đó.