Đề thi giữa học kì 1 môn Toán lớp 10 trường THPT Thuận Thành số 3, Bắc Ninh năm học 2015 - 2016
Đề thi giữa học kì 1 môn Toán lớp 10
Đề thi giữa học kì 1 môn Toán lớp 10 trường THPT Thuận Thành số 3, Bắc Ninh năm học 2015 - 2016. Đây là tài liệu tham khảo hay được Vndoc.com sưu tầm, nhằm giúp các bạn học sinh lớp 10 ôn tập và củng cố kiến thức để chuẩn bị cho bài kiểm tra giữa học kì 1 sắp tới. Mời các bạn tham khảo.
Giải bài tập trang 50, 51 SGK Đại số 10: Ôn tập chương 2
Đề thi học kỳ I môn Toán lớp 10 trường THPT Liên Chiểu, Đà Nẵng năm học 2015 - 2016
| SỞ GD & ĐT BẮC NINH TRƯỜNG THPT THUẬN THÀNH SỐ 3 ĐỀ CHÍNH THỨC |
ĐỀ THI GIỮA HỌC KÌ I NĂM HỌC: 2015- 2016 Môn: TOÁN - Lớp: 10 Thời gian làm bài: 90 phút |
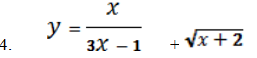
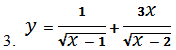
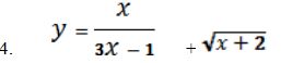
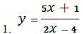
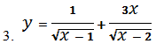
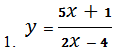
Câu 1 (2,0 điểm). Tìm tập xác định của các hàm số sau:
![]()

Câu 2 (2,0 điểm).
Cho parabol (P) có phương trình y = ax2 + bx + 3. Xác định a, b biết (P) đi qua điểm A(-1; 8) và có trục đối xứng là x = 2.
Câu 3 (3,0 điểm). Cho parabol (Pm) y = x2 + mx - 3
1. Lập bảng biến thiên và vẽ đồ thị (P) với m = 2
2. Chứng minh rằng với mọi m đồ thị (Pm) luôn cắt trục hoành tại hai điểm phân biệt A, B. Tìm m để tam giác IAB có diện tích bằng 8 với I là đỉnh của (Pm).
Câu 4 (3,0 điểm). Cho hình chữ nhật ABCD có tâm O, AB = 2BC = 2a (a>0). Gọi M, N lần lượt là trung điểm của BC, DC.
1. Chứng minh rằng ![]()
2. Tính ![]()
3. Tìm điểm E sao cho ![]()
-----------Hết-----------
Thí sinh không được sử dụng tài liệu, cán bộ coi thi không giải thích gì thêm