Giao diện mới của VnDoc Pro: Dễ sử dụng hơn - chỉ tập trung vào lớp bạn quan tâm. Vui lòng chọn lớp mà bạn quan tâm: Lưu và trải nghiệm
Đóng
Điểm danh hàng ngày
  • Hôm nay +3
  • Ngày 2 +3
  • Ngày 3 +3
  • Ngày 4 +3
  • Ngày 5 +3
  • Ngày 6 +3
  • Ngày 7 +5
Bạn đã điểm danh Hôm nay và nhận 3 điểm!
Nhắn tin Zalo VNDOC để nhận tư vấn mua gói Thành viên hoặc tải tài liệu Hotline hỗ trợ: 0936 120 169

Đề thi giữa học kì 1 môn Vật lý lớp 10 trường THPT Ngọc Tảo, Hà Nội năm học 2016 - 2017

Lớp: Lớp 10
Môn: Vật Lý
Dạng tài liệu: Đề thi
Thời gian: Học kì 1
Loại File: Word + PDF
Phân loại: Tài liệu Tính phí

Đề thi giữa học kì 1 môn Vật lý lớp 10

Đề thi giữa học kì 1 môn Vật lý lớp 10 trường THPT Ngọc Tảo, Hà Nội năm học 2016 - 2017. Đề thi gồm hai phần trắc nghiệm và tự luận với thời gian làm bài là 45 phút. Hi vọng với tài liệu này các bạn học sinh lớp 10 sẽ đạt được kết quả cao môn Vật lý trong kì thi giữa học kì 1. Mời các bạn tham khảo.

Đề thi giữa học kì 1 môn Vật lý lớp 10 trường THPT chuyên Lương Thế Vinh, Đồng Nai năm học 2016 - 2017

Đề kiểm tra giữa học kì 1 môn Vật lý lớp 10 năm học 2015 - 2016 trường THPT Thống Nhất A, Đồng Nai

SỞ GD&ĐT HÀ NỘI
TRƯỜNG THPT NGỌC TẢO
ĐỀ THI GIỮA HỌC KÌ 1 NĂM HỌC 2016 - 2017
MÔN: VẬT LÝ - LỚP 10
Thời gian làm bài: 45 phút

A. TRẮC NGHIỆM

Câu 1. Phương trình chuyển động của một chất điểm có dạng x = 10 – 3t + t2 (x đo bằng m, t đo bằng giây). Công thức tính vận tốc của chất điểm theo thời gian là

A) v = 10 + 3t (m/s) B) v = -3 + 2t (m/s).
C) v = 3 + t (m/s). D) v = 3 + 2t (m/s).

Câu 2. Chọn câu đúng: Một hệ tọa độ cố định gắn với vật làm mốc và một đồng hồ đo thời gian gọi là

A) Mốc thời gian. B) Sự chuyển động của vật đó.
C) Quỹ đạo của chuyển động. D) Hệ quy chiếu.

Câu 3. Một vật được thả rơi tự do từ độ cao 20 m xuống đất. Lấy g = 10 m/s2. Vận tốc của vật ngay trước khi chạm đất là

A) 20 m/s. B) 200 m/s C) 200Đề thi giữa học kì 1 môn Vật lý lớp 10 m/s D) 20Đề thi giữa học kì 1 môn Vật lý lớp 10 m/s

Câu 4. Chuyển động nhanh dần đều là chuyển động trong đó

A) Quãng đường đi được tăng dần.
B) Vận tốc có độ lớn tăng dần theo thời gian.
C) Vecto gia tốc không đổi cả về hướng và độ lớn, luôn cùng hướng với vecto vận tốc.
D) Gia tốc luôn luôn dương.

Câu 5. Một chiếc thuyền chuyển động thẳng ngược chiều dòng nước, đi được 15 km trong 1 giờ, nước chảy với vận tốc 5 km/h. Vận tốc của thuyền đối với nước là

A) 5 km/h. B) 20 km/h. C) 15 km/h. D) 10 km/h.

Câu 6. Chọn phát biểu sai: Trong chuyển động thẳng biến đổi đều.

A) Vận tốc v là hàm bậc nhất theo thời gian.
B) Độ lớn gia tốc a không đổi.
C) Tích giữa gia tốc và vận tốc không đổi.
D) Tọa độ x là hàm bậc hai theo thời gian.

Câu 7. Chọn phát biểu đúng.

A) Chuyển động chậm dần đều theo chiều dương của trục tọa độ có a > 0.
B) Chuyển động thẳng chậm dần đều có a < 0.
C) Chuyển động thẳng nhanh dần đều theo chiều dương của trục tọa độ có a > 0.
D) Chuyển động nhanh dần đều có a > 0.

Câu 8. Chọn câu đúng: Chuyển động thẳng đều là chuyển động trong đó

A) Quỹ đạo là đường thẳng và tốc độ trung bình như nhau trên mọi quãng đường.
B) Quỹ đạo là đường thẳng, quãng đường đi được không đổi.
C) Tốc độ không thay đổi.
D) Quỹ đạo và tốc độ không đổi.

Câu 9. Khi ô tô đang chạy với vận tốc 10 m/s trên một đoạn đường thẳng thì người lái xe tăng ga và ô tô chuyển động nhanh dần đều. Sau 10 giây ô tô đạt vận tốc 14 m/s. Gia tốc a và vận tốc của ô tô sau 40 giây tăng ga là bao nhiêu?

A) 0,4 m/s2 và 26 m/s. B) 0,2 m/s2 và 8 m/s.
C) 1,4 m/s2 và 66 m/s. D) 0,2 m/s2 và 18 m/s.

Câu 10. Một vật được thả rơi từ độ cao 78,4 m xuống đất. Bỏ qua lực cản của không khí. Gia tốc rơi tự do g = 9,8 m/s2. Quãng đường vật đi được trong 3 giây cuối trước khi chạm đất bằng

A) 44,1 m. B) 73,5 m. C) 34,3 m. D) 4,9 m.

B. TỰ LUẬN

Bài 1. Một đoàn tàu rời ga chuyển động thẳng nhanh dần đều. Sau 1 phút tàu đạt tốc độ 36km/h. Tính:

a. Gia tốc của đoàn tàu.
b. Tính quãng đường mà tàu đi được trong thời gian nói trên.
c. Nếu tiếp tục tăng tốc như vậy thì sau bao lâu nữa tàu đạt tốc độ 72km/h.

Bài 2. Một đồng hồ treo tường có kim giờ dài 10cm, kim giây dài 15 cm (tính từ trục quay). Tính vận tốc dài của đầu các kim.

Đáp án đề thi giữa học kì 1 môn Vật lý lớp 10

SỞ GD&ĐT HÀ NỘI
TRƯỜNG THPT NGỌC TẢO
ĐÁP ÁN ĐỀ THI GIỮA HỌC KÌ 1
NĂM HỌC 2016 - 2017
MÔN: VẬT LÝ - LỚP 10

A. Trắc nghiệm

1. B
2. D
3. A
4. C
5. B
6. C
7. C
8. A
9. A
10. B

B. Tự luận

Bài

Câu

Nội dung

Điểm

1 (3,0 điểm)

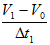
a

a = Đề thi giữa học kì 1 môn Vật lý lớp 10 = Đề thi giữa học kì 1 môn Vật lý lớp 10 = 1/6 (m/s2).

1,0

b

S = V0t + (at2/2) = 300 (m)

1,0

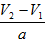
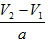
c

Δt2 = Đề thi giữa học kì 1 môn Vật lý lớp 10 = 60 (s)

1,0

2 (2,0 điểm)

Vh = ω2hRh = 7,27.10-6 (m/s).

1,0

Vs = ω2sRs = 0,0157 (m/s)

1,0

Chọn file muốn tải về:
Đóng Chỉ thành viên VnDoc PRO/PROPLUS tải được nội dung này!
Đóng
79.000 / tháng
Đặc quyền các gói Thành viên
PRO
Phổ biến nhất
PRO+
Tải tài liệu Cao cấp 1 Lớp
30 lượt tải tài liệu
Xem nội dung bài viết
Trải nghiệm Không quảng cáo
Làm bài trắc nghiệm không giới hạn
Mua cả năm Tiết kiệm tới 48%

Có thể bạn quan tâm

Xác thực tài khoản!

Theo Nghị định 147/2024/ND-CP, bạn cần xác thực tài khoản trước khi sử dụng tính năng này. Chúng tôi sẽ gửi mã xác thực qua SMS hoặc Zalo tới số điện thoại mà bạn nhập dưới đây:

Số điện thoại chưa đúng định dạng!
Số điện thoại này đã được xác thực!
Bạn có thể dùng Sđt này đăng nhập tại đây!
Lỗi gửi SMS, liên hệ Admin
Sắp xếp theo
🖼️

Đề thi giữa kì 1 lớp 10

Xem thêm
🖼️

Gợi ý cho bạn

Xem thêm