Đề thi giữa học kì 2 môn Toán lớp 10 (nâng cao) trường THPT Phan Văn Trị, Cần Thơ năm học 2015 - 2016
Đề thi giữa học kì 2 môn Toán lớp 10 (nâng cao)
Đề thi giữa học kì 2 môn Toán lớp 10 (nâng cao) trường THPT Phan Văn Trị, Cần Thơ năm học 2015 - 2016 gồm 2 đề kiểm tra môn Toán có đáp án đi kèm, là tài liệu ôn tập môn Toán hữu ích dành cho các bạn học sinh lớp 10, giúp các bạn luyện tập và chuẩn bị tốt nhất cho bài thi cuối năm sắp tới. Mời các bạn tham khảo.
Đề thi giữa học kì 2 môn Toán lớp 10 (cơ bản) trường THPT Phan Văn Trị, Cần Thơ năm học 2015 - 2016
Đề thi giữa học kì 2 môn Toán lớp 10 trường THPT Thủ Đức, TP. HCM năm 2015 - 2016
ĐỀ KIỂM TRA CHUNG KHỐI 10 NÂNG CAO
Thời gian: 60 phút
ĐỀ 1
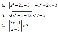
Câu 1/(5đ) Giải phương trình và bất phương trình sau:

Câu 2/ (2,5đ) Cho phương trình x2 - 6mx + 2 - 2m + 9m2 = 0 (1)
Tìm các giá trị của tham số m để phương trình (1) có hai nghiệm dương phân biệt.
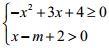
Câu 3/ (2,5đ) Tìm các giá trị của tham số m để hệ bất phương trình sau vô nghiệm.
![]()
ĐỀ KIỂM TRA CHUNG KHỐI 10 NÂNG CAO
Thời gian: 60 phút
ĐỀ 2
Câu 1/ (5đ) Giải phương trình và bất phương trình sau:

Câu 2/ (2,5đ) Cho phương trình x2 - 6mx + 2 - 2m + 9m2 = 0 (1)
Tìm các giá trị của tham số m để phương trình (1) có hai nghiệm âm phân biệt.
Câu 3/ (2,5đ) Tìm các giá trị của tham số m để hệ bất phương trình sau vô nghiệm
![]()
Đáp án đề thi giữa học kì 2 môn Toán lớp 10 (nâng cao)

