Đề thi giữa học kì 2 môn Toán lớp 4 trường Tiểu học Kiên Thành năm học 2016 - 2017
Đề thi giữa học kì 2 môn Toán lớp 4
Đề thi giữa học kì 2 lớp 4 môn Toán trường tiểu học Kiên Thành năm học 2016 - 2017 được VnDoc sưu tầm, chọn lọc. Đề thi giữa kì 2 lớp 4 này có đáp án và bảng ma trận đề thi theo Thông tư 22 kèm theo cùng với các dạng bài tập trọng tâm giúp các em học sinh ôn tập, củng cố các dạng bài tập Toán ôn luyện cho bài thi giữa học kì 2 lớp 4 đạt kết quả cao. Sau đây mời các em cùng tham khảo.
Đề thi giữa học kì 2 môn Toán lớp 4 trường Tiểu học Kiên Thành năm học 2016 - 2017
Bộ đề thi giữa học kì 2 lớp 4 năm 2016 - 2017 theo Thông tư 22
Đề thi giữa học kì 2 môn Toán lớp 4 trường Tiểu học An Thạnh năm học 2016 - 2017
|
PHÒNG GD&ĐT TRẤN YÊN TRƯỜNG TH &THCS KIÊN THÀNH
|
ĐỀ KIỂM TRA GIỮA KÌ II NĂM HỌC 2016-2017 Môn: Toán - Lớp 4 (Thời gian làm bài 60 phút, không kể thời gian giao đề̀) |
Câu 1: (M1)
a) Phân số: Ba phần bảy được viết là: .....................
b) Chọn câu trả lời đúng:
![]()
Câu 2: Khoanh vào chữ đặt trước câu trả lời đúng: (M1)
a) Rút gọn phân số sau: 63/45

b) Phân số nào sau đây là phân số tối giản?

Câu 3: Đúng ghi Đ, sai ghi S vào ô trống. (M2)
a) Số 2562 chia hết cho 3 và 2.
b) Số có số tận cùng bằng 5 thì chia hết cho 3.
c) Số nào chia hết cho 9 thì chia hết cho 3.
d) Số nào chia hết cho 3 thì có số tận cùng là 0.
Câu 4: Viết số thích hợp vào chỗ chấm: (M2)

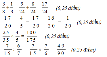
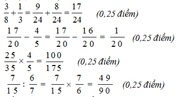
Câu 5: Tính (M3)

Câu 6: Điền dấu < > = (M3)
![]()
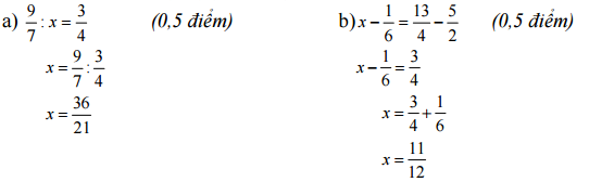
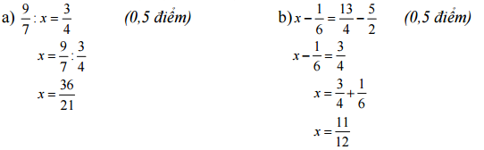
Câu 7: Tìm x, biết: (M4)

Câu 8: (M3) Hình thoi MNPQ có độ dài đường chéo MP = 42 cm, độ dài đường chéo NQ = 21 cm. Tính diện tích hình thoi MNPQ.
Câu 9: (M4) Hai thửa ruộng thu được 6 tấn 4 tạ thóc. Thu hoạch ở thửa ruộng thứ nhất được nhiều hơn thửa ruộng thứ hai là 10 tạ thóc. Hỏi mỗi thửa ruộng thu hoạch được bao nhiêu ki-lô-gam thóc?
Câu 10: (M4) Một hình bình hành có chu vi là 420 cm, có độ dài cạnh đáy gấp đôi cạnh kia và gấp 4 lần chiều cao. Tính diện tích hình bình hành.
Đáp án và hướng dẫn giải môn Toán giữa học kì 2 lớp 4
Câu 1: (M1) (1,0 điểm)
a) Phân số: Ba phần bảy được viết là: 3/7 (0,5 điểm)
b) Chọn câu trả lời đúng: D. = 1 (0,5 điểm)
Câu 2: Khoanh vào chữ đặt trước câu trả lời đúng: (M1) (1,0 điểm)
a) Rút gọn phân số sau: C. (0,5 điểm)
b) Phân số nào sau đây là phân số tối giản? B. (0,5 điểm)
Câu 3: Đúng ghi Đ, sai ghi S vào ô trống. (M2) (1,0 điểm)
a) Số 2562 chia hết cho 3 và 2. Đ (0,25 điểm)
b) Số có số tận cùng bằng 5 thì chia hết cho 3. S (0,25 điểm)
c) Số nào chia hết cho 9 thì chia hết cho 3. Đ (0,25 điểm)
d) Số nào chia hết cho 3 thì có số tận cùng là 0 S (0,25 điểm)
Câu 4: Viết số thích hợp vào chỗ chấm: (M2) (1,0 điểm)

Câu 5: Tính (M3) (1,0 điểm)

Câu 6: Điền dấu < > = (M3) (1,0 điểm)

Câu 7: Tìm x, biết: (M4) (1,0 điểm)

Câu 8: (M3) (1,0 điểm)
Bài giải:
Diện tích hình thoi MNPQ là:
(42 x 21) : 2 = 441 (cm2)
Đáp số: 441 cm2
Câu 9: (M4) (1,0 điểm)
Bài giải:
Đổi 6 tấn 4 tạ = 6400 kg
10 tạ = 1000 kg
Thửa ruộng thứ nhất thu hoạch được là:
(6400 + 1000) : 2 = 3 700 (kg)
Thửa ruộng thứ hai thu hoạch được là:
6 400 – 3 700 = 2 700 (kg)
Đáp số: Thửa ruộng thứ nhất: 3 700 kg thóc
Thửa ruộng thứ hai: 2 700 kg thóc
Câu 10: (M4) (1,0 điểm)
Bài giải
Vì độ dài đáy gấp đôi cạnh kia nên độ dài cạnh đáy là:
420 : 3 = 140 (cm)
Độ dài đường cao là:
140 : 4 = 35 (cm)
Diện tích hình bình hành là:
140 x 35 = 4900 (cm2)
Đáp số: 4900 cm2
Ma trận đề kiểm tra giữa học kì 2 lớp 4 môn Toán
|
Mạch kiến thức kiểm tra |
Số câu Số điểm |
Mức 1 |
Mức 2 |
Mức 3 |
Mức 4 |
Tổng |
|
Số học: Đọc viết phân số, cấu tạo, tính chất cơ bản của phân số, rút gọn, quy đồng, thực hiện các phép tính cộng, trừ, nhân, chia phân số; dấu hiệu chia hết cho 2, 3, 5, 9; giải bài toán liên quan đến phân số, tìm hai số khi biết tổng và hiệu; tìm phân số của một số. |
Số câu |
02 |
01 |
02 |
02 |
07 |
|
Số điểm |
02 |
01 |
02 |
02 |
07 |
|
|
Đại lượng và đo đại lượng: Biết tên gọi, kí hiệu và các mối quan hệ giữa các đơn vị đo độ dài, diện tích, khối lượng dưới dạng phân số. |
Số câu |
|
01 |
|
|
01 |
|
Số điểm |
|
01 |
|
|
01 |
|
|
Yếu tố hình học: Tính được diện tích hình bình hành, hình thoi; giải bài toán liên quan đến diện tích |
Số câu |
|
|
01 |
01 |
02 |
|
Số điểm |
|
|
01 |
01 |
02 |
|
|
Tổng |
Số câu |
02 |
02 |
03 |
03 |
10 |
|
Số điểm |
02 |
02 |
03 |
03 |
10 |