Đề thi giữa học kì 2 môn Toán lớp 4 trường Tiểu học Xuân Minh, Quảng Bình năm 2016 - 2017
Đề thi giữa học kì 2 môn Toán lớp 4
Thư viện đề thi lớp 4 xin giới thiệu Đề thi giữa học kì 2 môn Toán lớp 4 trường tiểu học Xuân Minh, Quảng Bình năm học 2016 - 2017 được VnDoc sưu tầm, chọn lọc. Đề thi học kì 2 lớp 4 này có đáp án và bảng ma trận đề thi theo Thông tư 22 kèm theo cùng với các dạng bài tập trọng tâm giúp các em học sinh ôn tập, củng cố các dạng bài tập Toán ôn luyện cho bài thi giữa học kì 2 lớp 4 đạt kết quả cao. Sau đây mời các em cùng tham khảo.
Đề thi giữa học kì 2 môn Toán lớp 4 trường Tiểu học Xuân Minh, Quảng Bình năm 2016 - 2017
Đề thi giữa học kì 2 môn Tiếng Việt lớp 4 năm học 2016 - 2017
Đề thi giữa học kì 2 môn Toán lớp 4 năm học 2016 - 2017
Đề thi giữa học kì 2 môn Toán lớp 4 trường Tiểu học Phú Long năm học 2016 - 2017
|
PHÒNG GD&ĐT QUẢNG BÌNH TRƯỜNG PTDT BÁN TRÚ TIỂU HỌC VÀ THCS XUÂN MINH
|
BÀI KIỂM TRA ĐỊNH KỲ GIỮA HỌC KÌ II NĂM HỌC 2016 - 2017 MÔN: TOÁN - LỚP 4 Thời gian 40 phút (không kể thời gian giao đề) |
I. PHẦN TRẮC NGHIỆM (7,0 điểm)
Câu 1: (1,0 điểm) Điền dấu vào ô trống:


Câu 5: (1,0 điểm) Nối phép tính với kết quả của phép tính đó:

Câu 6: (1,0 điểm) Viết số thích hợp vào chỗ chấm
a) 5 tấn 25 kg = .......... kg (525 kg; 5 025 kg; 5 250 kg)
b) 1 m2 4 cm2 = ...........cm2 (10 004 cm2; 14 cm2; 104 cm2)
Câu 7: (1,0 điểm) Tìm một phân số, biết rằng nếu phân số đó trừ đi 1/5 rồi lại thêm 1/4 thì được 5/4. Phân số cần tìm là:.................
II. PHẦN TỰ LUẬN (3,0 điểm)
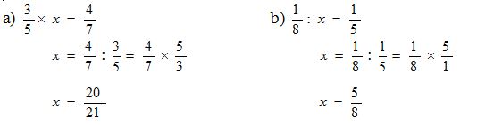
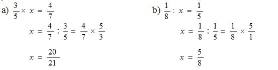
Câu 8: Tìm x: (1,0 điểm)

Câu 9: (1,0 điểm): Chị hơn em 6 tuổi. Tuổi chị và tuổi em cộng lại được 18 tuổi. Tính tuổi của mỗi người.
Câu 10: (1,0 điểm): Một cái sân hình bình hành có độ dài đáy là 20 m. Biết chiều cao bằng 3/4 độ dài đáy. Tính diện tích của cái sân đó?
Hướng dẫn chấm và đáp án môn Toán giữa học kì 2 môn Toán lớp 4
|
Câu |
1 |
2 |
3 |
|||
|
Ý |
a |
b |
a |
b |
a |
b |
|
Đáp án |
< |
> |
C |
A |
S |
Đ |
|
Điểm |
0,5 |
0,5 |
0,5 |
0,5 |
0,5 |
0,5 |
Câu 4: (1,0 điểm) Mỗi thứ tự đúng được 0,25 điểm.
Xếp các phân số theo thứ tự từ bé đến lớn: 1/5; 3/5; 6/8; 8/5
Câu 5: (1,0 điểm) Mỗi phép tính nối đúng được 0,5 điểm

Câu 6: (1,0 điểm) Mỗi phép tính đúng được 0,5 điểm:
a) 5 tấn 25 kg = 5025 kg
b) 1 m2 4 cm2 = 10 004 cm2
Câu 7: (1,0 điểm) Tìm đúng phân số được 1,0 điểm.
Phân số cần tìm là: 6/5
II. PHẦN TỰ LUẬN (3,0 điểm)
Câu 8: Tìm x: (1,0 điểm) Mỗi phép tính đúng được 0,5 điểm:

Câu 9: (1,0 điểm): Chị hơn em 6 tuổi. Tuổi chị và tuổi em cộng lại được 18 tuổi. Tính tuổi của mỗi người.
Bài giải
Số tuổi của em là: (0, 25 điểm)
(18 - 6) : 2 = 6 (Tuổi) (0, 25 điểm)
Số tuổi của chị là: (0, 25 điểm)
18 - 6 = 12 (Tuổi) (0, 25 điểm)
Đáp số: Em: 6 Tuổi; Chị: 12 Tuổi
Câu 10: (1,0 điểm):
Bài giải
Chiều cao của cái sân đó là: (0, 2 điểm)
20 x 3/4 = 15 (m) (0, 25 điểm)
Diện tích của cái sân đó là: (0, 2 điểm)
20 x 15 = 300 (m2) (0, 25 điểm)
Đáp số: 300 (m2) (0, 1 điểm)
* Lưu ý: Các cách giải khác mà có kết quả đúng học sinh vẫn đạt điểm tối đa.
Bảng ma trận đề thi giữa học kì 2 môn Toán lớp 4
|
Mạch kiến thức, kĩ năng |
Số câu, số điểm |
Mức 1
|
Mức 2
|
Mức 3
|
Mức 4
|
Tổng |
|
Số học: So sánh phân số. Viết các phân số theo thứ tự từ bé đến lớn. Biết cộng, trừ, nhân, chia hai phân số; tìm một thành phần chưa biết trong phép tính; Giải bài toán tìm hai số khi biết tổng và hiệu của hai số đó. |
Số câu |
03
|
02 |
01 |
01 |
07 |
|
|
Số điểm |
03 |
02 |
01 |
01 |
07 |
|
Đại lượng và đo đại lượng: Chuyển đổi số đo khối lượng, diện tích. |
Số câu
|
|
01 |
|
|
01 |
|
|
Số điểm
|
|
01 |
|
|
01 |
|
Yếu tố hình học:; Nhận biết hình thoi; tính diện tích hình bình hành |
Số câu
|
01 |
|
01 |
|
02 |
|
|
Số điểm
|
01 |
|
01 |
|
02 |
|
Tổng |
Số câu
|
04 |
03 |
02 |
01 |
10 |
|
|
Số điểm
|
04 |
03 |
02 |
01 |
10 |
Ma trận câu hỏi đề kiểm tra môn Toán giữa học kỳ II lớp 4
|
Mạch kiến thức, kĩ năng |
Số câu, số điểm |
Mức 1
|
Mức 2
|
Mức 3
|
Mức 4
|
Tổng |
|
Số học |
Số câu |
03 |
02 |
01 |
01 |
07 |
|
|
Câu số |
1, 2, 4 |
5, 8 |
9 |
7 |
|
|
Đại lượng và đo đại lượng |
Số câu |
|
01 |
|
|
01 |
|
|
Câu số |
|
6 |
|
|
|
|
Yếu tố hình học |
Số câu |
01 |
|
01 |
|
02 |
|
|
Câu số |
3 |
|
10 |
|
|
|
Tổng số câu |
Số câu |
04 |
03 |
02 |
01 |
10 |