Đề thi giữa học kì 2 môn Toán lớp 6 phòng GD&ĐT Bình Giang, Hải Dương năm 2013 - 2014
Đề thi giữa học kì 2 môn Toán lớp 6
Đề thi giữa học kì 2 môn Toán lớp 6 năm học 2013 - 2014 phòng GD&ĐT Bình Giang, Hải Dương là đề thi học kì II môn Toán lớp 6 có đáp án dành cho các bạn học sinh và thầy cô tham khảo, làm tài liệu nghiên cứu, học tập môn Toán lớp 6 được chắc chắn nhất, làm cơ sở học lên chương trình Toán lớp 7.
Đề thi giữa học kì 2 môn Toán đại số lớp 6 Phòng GD&ĐT Bình Giang, Hải Dương năm học 2015 - 2016
Đề thi giữa học kì 2 môn Toán hình học lớp 6 Phòng GD&ĐT Bình Giang, Hải Dương năm học 2015 - 2016
Đề thi giữa học kì 2 môn Vật lý lớp 6 trường THCS Minh Tân, Dầu Tiếng năm 2015 - 2016
Đề thi giữa học kì 2 môn Ngữ văn lớp 6 trường THCS Mạc Đĩnh Chi, Hà Nội năm 2015 - 2016
| PHÒNG GD&ĐT BÌNH GIANG | ĐỀ KHẢO SÁT CHẤT LƯỢNG GIỮA KÌ 2 NĂM HỌC: 2013 - 2014 MÔN: TOÁN - LỚP 6 Thời gian làm bài: 90 phút (Đề bài gồm 01 trang) |
Câu 1 (2.0 điểm). Thực hiện phép tính.
Câu 2 (2.0 điểm). Tìm x, biết.
Câu 3 (2.0 điểm). Một khu đất hình chữ nhật có chiều dài là km, chiều rộng kém chiều dài 3/5 km. Tính chu vi và diện tích của khu đất.
Câu 4 (2.0 điểm).
Trên cùng một nửa mặt phẳng có bờ chứa tia Ox, vẽ các tia Oy Oz và Ot sao cho ![]()
1) Tính ![]()
2) Tia Ot có là tia phân giác của
không, vì sao?
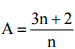
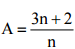
Câu 5 (2.0 điểm).
1) Tìm số nguyên n để
có giá trị là một số nguyên.
2) Cho a, b € N* Hãy so sánh
.
Đáp án đề thi giữa học kì 2 môn Toán lớp 6
Câu 1:

Câu 2:


Câu 3:

Câu 4:

Câu 5:
