Đề thi giữa học kì 2 môn Vật lý lớp 9 trường THCS Nguyễn Trãi, Quảng Nam năm 2014 - 2015
Đề thi giữa học kì 2 môn Vật lý lớp 9
Đề thi học kì 2 môn Ngữ Văn lớp 9 năm 2015 - 2016 trường THCS Tam Hưng, Hà Nội là tài liệu tham khảo được VnDoc sưu tầm và giới thiệu tới các bạn học sinh để ôn thi học kì II môn Ngữ văn lớp 9, ôn thi cuối kì. Mời các bạn cùng tham khảo nhằm đạt kết quả cao trong bài thi của mình.
Đề thi giữa học kì 2 môn Ngữ văn lớp 9 trường THCS Tam Hưng, Thanh Oai năm 2015 - 2016
| TRƯỜNG THCS NGUYỄN TRÃI | ĐỀ KIỂM TRA GIỮA HỌC KỲ II NĂM HỌC 2014 – 2015 MÔN VẬT LÝ – LỚP 9 |
Câu 1: (2,0đ) Hai bộ phận chính của máy phát điện xoay chiều là gì? Kể tên hai bộ phận chính của máy ảnh.
Câu 2: (2,0đ) Kính lúp là gì? Khi quan sát vật bằng kính lúp ta phải đặt vật như thế nào? Khi đó ảnh của vật qua kính lúp là ảnh thật hay ảnh ảo?
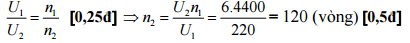
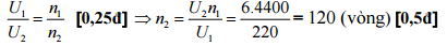
Câu 3: (2,0đ) Nêu cấu tạo của máy biến thế. Dùng máy biến thế để hạ điện thế từ 220 V xuống còn 6 V. Nếu cuộn sơ cấp có 4400 vòng thì cuộn thứ cấp có bao nhiêu vòng?
Câu 4: (2,0đ) Một người cận thị khi không đeo kính thì chỉ có thể nhìn thấy rõ các vật xa nhất cách mắt 50cm. Hãy cho biết:
a) Thế nào là tật cận thị? Người ấy phải đeo kính cận là thấu kính loại nào để khắc phục tật cận thị?
b) Kính cận thích hợp với người ấy có tiêu cự bằng bao nhiêu cm?
Câu 5: (2,0đ) Vật sáng AB đặt vuông góc với trục chính của một thấu kính hội tụ (TKHT), cách TKHT 24 cm. TKHT có tiêu cự 8 cm.
a) Vẽ hình, xác định vị trí của ảnh A'B' so với TKHT và nhận xét ảnh A'B'.
b) Muốn ảnh A'B' là ảnh ảo thì phải di chuyển vật AB lại gần hay ra xa TKHT? Giải thích.
Đáp án đề thi giữa học kì 2 môn Vật lý lớp 9
Câu 1: (2,0 đ)
- Hai bộ phận chính của máy phát điện xoay chiều: Nam châm [0,5đ] và cuộn dây dẫn [0,5 đ]
- Hai bộ phận chính của máy ảnh: Vật kính [0,5đ] và buồng tối [0,5đ]
Câu 2: (2,0 đ)
- Kính lúp là thấu kính hội tụ [0,5đ] có tiêu cự ngắn [0,5đ].
- Đặt vật trong khoảng tiêu cự của kính lúp [0,5đ], ảnh ảo [0,5đ].
Câu 3: (2,0 đ)
- Cấu tạo của máy biến thế: Hai cuộn dây có số vòng khác nhau [0,5đ], đặt cách điện với nhau.[0,25đ], một lõi sắt có pha silic chung cho cả 2 cuộn dây [0,5đ].
- Số vòng cuôn thứ cấp:

Câu 4: (2,0 đ)
Nhìn rõ vật ở gần, không nhìn rõ vật ở xa [0,5đ]. Người ấy phải đeo kính cận là thấu kính phân kỳ để khắc phục tật cận thị [0,75đ].
Kính cận thích hợp với người ấy có tiêu cự bằng 50 cm [0,75đ].
Câu 5: (2,0 đ)
a) Hình vẽ đúng, ảnh thật nhỏ hơn vật [0,5đ].

Giải ra ta có: OA' = 12 (cm) [0,25đ].
Nhận xét: A'B là ảnh thật [0,25đ] ngược chiều, nhỏ hơn vật [0,25đ], cách TKHT 12 cm [0,25đ]
b) Di chuyển vật AB lại gần TKHT [0,25đ], vì muốn A'B' là ảnh ảo thì d < f, tức d < 8 cm [0,25đ]