Đề thi học kì 1 môn Toán lớp 10 trường THCS&THPT Võ Thị Sáu, Phú Yên năm học 2016 - 2017
Đề thi học kì 1 môn Toán lớp 10
VnDoc.com mới các bạn cùng tham khảo Đề thi học kì 1 môn Toán lớp 10 trường THCS&THPT Võ Thị Sáu, Phú Yên năm học 2016 - 2017 có đáp án, giúp các bạn ôn tập và củng cố kiến thức hiệu quả. Chúc các bạn học tốt!
Bộ đề thi học kì 1 môn Toán lớp 10 năm học 2016 - 2017
Đề kiểm tra học kì 1 môn Toán lớp 10 năm học 2014 - 2015 trường THPT Châu Thành 1, Đồng Tháp
| TRƯỜNG THCS VÀ THPT VÕ THỊ SÁU TỔ: TOÁN - TIN |
KIỂM TRA HỌC KỲ I Năm học: 2016 - 2017 Môn: Toán 10 (Thời gian làm bài: 90 phút) Đề thi gồm 01 trang |
Câu 1: (2,0 điểm)
a) Tìm tập xác định của hàm số
.
b) Cho hai tập hợp A = (-3; 2] và B = (-1; +∞). Tìm các tập hợp A ∩ B và B\A.
Câu 2: (2,0 điểm)
a) Lập bảng biến thiên và vẽ đồ thị hàm số y = -x2 + 2x + 3
b) Xác định hàm số bậc hai y = ax2 + bx - 3, biết đồ thị của nó đi qua điểm A(5; - 8) và có trục đối xứng là x = 2.
Câu 3: (3,0 điểm)
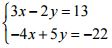
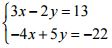
a) Dùng định thức, giải hệ phương trình ![]()
b) Giải phương trình ![]()
c) Tìm m để phương trình sau vô nghiệm (x - 1)4 + (x + 1)4 = m
Câu 4: (2,0 điểm)
Trong mặt phẳng Oxy, cho các điểm A(1; -2), B(4; 1), C(4; -5).
a) Tìm tọa độ véctơ
. Chứng minh A, B, C là ba đỉnh của một tam giác.
b) Tìm tọa độ trung điểm I của cạnh BC, tọa độ trọng tâm G của tam giác ABC.
c) Tìm tọa độ đỉnh D sao cho ABCD là hình bình hành.
Câu 5: (1,0 điểm)
Trong mặt phẳng tọa độ Oxy, cho hình vuông ABCD. Biết đỉnh A(1; 2), B(2; 2) và đỉnh C có hoành độ dương. Tìm tọa độ của các đỉnh C và D.
Đáp án đề thi học kì 1 môn Toán lớp 10


