Đề thi học kì 1 môn Toán lớp 10 trường THPT Yên Lạc 2, Vĩnh Phúc năm học 2014 - 2015
Đề thi học kì 1 môn Toán lớp 10
Đề thi học kì 1 môn Toán lớp 10 trường THPT Yên Lạc 2, Vĩnh Phúc năm học 2014 - 2015 được VnDoc.com sưu tầm và đăng tải, là tài liệu ôn tập Toán hiệu quả dành cho các bạn học sinh lớp 10, giúp các bạn củng cố và hệ thống kiến thức, chuẩn bị tốt trước các bài thi, bài kiểm tra học kì.
Đề thi học kì 1 môn Toán lớp 10 trường THPT Trần Phú, Đồng Nai năm học 2015 - 2016
Đề thi học kì 1 môn Lịch sử lớp 10 trường THPT Yên Lạc 2, Vĩnh Phúc năm học 2014 - 2015
|
SỞ GD&ĐT VĨNH PHÚC TRƯỜNG THPT YÊN LẠC 2 |
KỲ THI KHẢO SÁT CHẤT LƯỢNG LẦN THỨ HAI NĂM HỌC 2014 – 2015 ĐỀ THI MÔN: TOÁN – LỚP 10 Thời gian làm bài: 150 phút, không kể thời gian giao đề. Đề thi gồm: 01 trang |
CÂU 1 (3,0 điểm): Cho hàm số y = x2 - 2x + m
a) Vẽ đồ thị của hàm số trên với m = -3.
b) Tìm m để đồ thị y = x2 - 2x + m cắt trục Ox tại hai điểm phân biệt.
c) Biện luận theo m số nghiệm của phương trình |x2 - 2x - 3| = m.
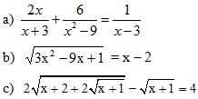
CÂU 2 (3,0 điểm): Giải các phương trình sau

CÂU 3 (2,0 điểm) Trong mặt phẳng Oxy, cho tam giác ABC với A(2; 1), B(-1; 2), C(1; -2)
a) Tìm tọa độ trọng tâm G và chu vi tam giác ABC.
b) Tìm tọa độ điểm M sao cho
.
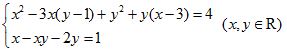
CÂU 4 (1,0 điểm) Giải hệ phương trình: 
CÂU 5 (1,0 điểm) Cho các số dương a, b, c thỏa mãn abc = 1.
Chứng minh rằng:
.
Đáp án đề thi học kì 1 môn Toán lớp 10



