Đề thi học kì 1 môn Toán lớp 12 trường THPT Phan Ngọc Hiển, Cà Mau năm học 2015 - 2016
Đề thi học kì 1 môn Toán lớp 12
Đề thi học kì 1 môn Toán lớp 12 trường THPT Phan Ngọc Hiển, Cà Mau năm học 2015 - 2016 là đề kiểm tra học kì I môn Toán lớp 12 dành cho các bạn và thầy cô tham khảo, ra đề cũng như ôn tập, hệ thống kiến thức Toán 12, ôn thi chuẩn bị cho kì thi THPT Quốc gia sắp tới. Mời các bạn tham khảo đề thi ôn luyện và học tập.
Đề thi học kì 1 môn Vật lý lớp 12 trường THPT Phan Ngọc Hiển, Cà Mau năm học 2015 - 2016
Đề thi học kì 1 môn Sinh học lớp 12 trường THPT Phan Ngọc Hiển, Cà Mau năm học 2015 - 2016
| SỞ GD&ĐT CÀ MAU TRƯỜNG THPT PHAN NGỌC HIỂN |
ĐỀ KIỂM TRA HỌC KỲ I, NĂM HỌC 2015 - 2016 MÔN TOÁN - LỚP 12 Thời gian làm bài 90 phút |
PHẦN CHUNG:
Câu 1: (3 điểm)
Cho hàm số: y = x3 - 3x - 2.
a. Khảo sát sự biến thiên và vẽ đồ thị (C) của hàm số.
b. Biện luận theo k số nghiệm của phương trình x3 - 3x - 2 - k = 0.
Câu 2: (1,0 điểm)
Tìm các giá trị lớn nhất và giá trị nhỏ nhất của hàm số: f(x) = x4 - 2x2 + 3 trên đoạn [0; 2] .
Câu 3 (1,0 điểm)
Tìm tọa độ các điểm M trên đồ thị (C):
, biết tiếp tuyến tại M có hệ số góc bằng 1.
Câu 4: (1,0 điểm)
Cho hàm số y = -x4 + 2mx2 - 2m + 1 (1). Tìm m để đồ thị hàm số (1) có 3 điểm cực trị sao cho có hai điểm cực trị nằm trên trục hoành.
Câu 5: (2,0 điểm)
Cho hình chóp S.ABC có đáy là tam giác vuông tại B. Cạnh bên SA vuông góc với mặt phẳng đáy (ABC). Biết SA = a√2, AB = a, BC = a√3.
a. Tính thể tích khối chóp S.ABC theo a.
b. Chứng minh: BC vuông góc với SB.
c. Tính khoảng cách từ A đến mặt phẳng (SBC) theo a.
PHẦN RIÊNG: (Học sinh chỉ làm một trong hai phần sau)
Phần 1: Ban cơ bản
Câu 6a: (2,0 điểm)
Giải phương trình và bất phương trình:
i. 3.4x - 5.6x + 2.9x = 0
ii. log3(x + 1) ≤ 2.
Phần 2: Ban nâng cao
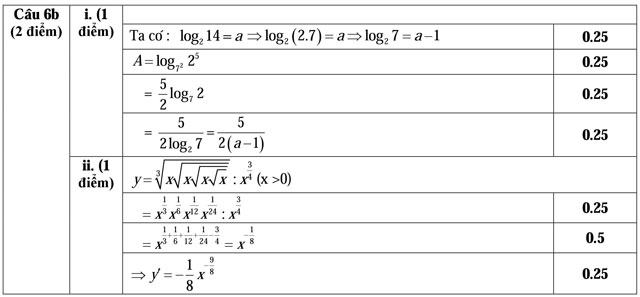
Câu 6b: (2,0 điểm)
i. Cho log214 = a. Hãy tính: A = log4932 theo a.
ii. Cho hàm số
. Tính đạo hàm y'.
Đáp án đề thi học kì 1 môn Toán lớp 12




