Đề thi học kì 1 môn Toán lớp 7 trường PTDT Nội Trú, Sơn La năm 2015 - 2016
Đề thi học kì 1 môn Toán lớp 7 có đáp án
Đề thi học kì 1 môn Toán lớp 7 trường PTDT Nội Trú, Sơn La năm 2015 - 2016 có 6 câu hỏi đại số và hình học cùng đáp án đi kèm. Mời các bạn tham khảo và củng cố, nâng cao kiến thức môn Toán hiệu quả.
22 đề thi học kì 1 môn Toán lớp 7
Đề thi học kì 1 môn Toán lớp 7 Phòng GD - ĐT Tân Châu năm 2014 - 2015
Đề kiểm tra giữa học kì 1 lớp 7 môn Toán phòng GD&ĐT Lục Ngạn năm 2015 - 2016
|
SỞ GIÁO DỤC VÀ ĐÀO TẠO SƠN LA TRƯỜNG PTDT NỘI TRÚ |
CỘNG HÒA XÃ HỘI CHỦ NGHĨA VIỆT NAM Độc lập – Tự do – Hạnh phúc |
ĐỀ CHÍNH THỨC
ĐỀ THI HỌC KÌ I NĂM HỌC: 2015 – 2016
Môn Thi: Toán lớp 7
Thời gian 90 phút (không kể thời gian p8hát đề)
Câu 1. (4 điểm)
a. Nêu định nghĩa căn bậc hai của một số không âm và áp dụng tính căn bậc hai của 4.
b. Thế nào là số hữu tỉ? Cho ví dụ?
c. Phát biểu định nghĩa hai tam giác bằng nhau, trường hợp bằng nhau G-C-G của 2 tam giác.
Câu 2. (1 điểm)
Vẽ a⊥c, vẽ b⊥c. Hãy phát biểu tính chất đó bằng lời?
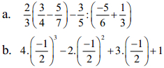
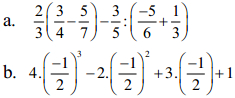
Câu 3. (2 điểm) Thực hiện phép tính.

Câu 4. (1 điểm) Cho hàm số y = f(x) = 4x2 - 3
a. Tính f(-2)
b. Tìm x biết f(x) = x
Câu 5. (1 điểm) Vẽ đồ thị hàm số y = 3x

Đáp án đề thi học kì 1 môn Toán lớp 7
