Đề thi học kì 1 môn Toán lớp 7 trường THCS Lương Phú, Thái Nguyên năm 2015 - 2016
Đề thi học kì 1 môn Toán lớp 7 năm 2015 - 2016
Đề thi học kì 1 môn Toán lớp 7 trường THCS Lương Phú, Thái Nguyên năm 2015 - 2016 gồm 6 câu hỏi có đáp án đi kèm là tài liệu tham khảo hữu ích dành cho các bạn học sinh lớp 7, giúp các bạn luyện tập và củng cố kiến thức môn Toán hiệu quả.
Đề thi học kì 1 môn Toán lớp 7 trường THCS Đồng Sơn, Quảng Ninh năm học 2016 - 2017
Đề thi học kì 1 môn Toán lớp 7 trường THCS Kim Đức, Phú Thọ năm học 2016 - 2017
Đề thi học kì 1 môn Toán lớp 7 Phòng GD&ĐT Vĩnh Yên, Vĩnh Phúc năm học 2016 - 2017
Đề thi học kì 1 môn Toán lớp 7 trường THCS Nghĩa Lâm, Quảng Ngãi năm học 2016 - 2017
PHÒNG GD & ĐT PHÚ BÌNH
TRƯỜNG THCS LƯƠNG PHÚ
ĐỀ KIỂM TRA HỌC KÌ I MÔN TOÁN 7
NĂM HỌC 2015 - 2016
Thời gian: 90 phút (không kể thời gian phát đề)
Câu 1: (2 điểm): Thực hiện phép tính:
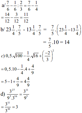
![]()
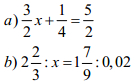
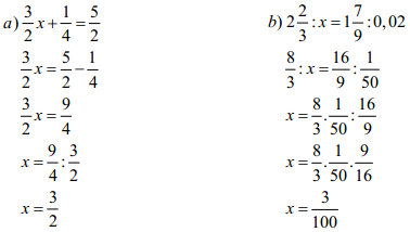
Câu 2: (2 điểm) Tìm x biết:

Câu 3: (1 điểm) Cho hàm số y = f(x) = x -2
a) Tính f(-1); f(0)
b) Tìm x để f(x) = 0
Câu 4: (1 điểm)
Biết ba cạnh của một tam giác tỉ lệ với 2;3;5 và chu vi của nó bằng 45cm.
Tính các cạnh của tam giác đó
Câu 5: (3 điểm)
Cho tam giác ABC có AB = AC. Tia phân giác của góc A cắt BC tại D.
a) Chứng minh: ADB = ADC.
b) Kẻ DH vuông góc với AB (H∈AB), DK vuông góc với AC (K∈AC). Chứng minh DH = DK
c) Biết:
Tính số đo các góc của tam giác ABC
Câu 6: (1 điểm)
Biết 12 + 22 + 32 + ... + 102 = 385. Tính tổng sau: A = 1002 + 2002 + 3002 + ... + 10002
Đáp án đề thi học kì 1 môn Toán lớp 7
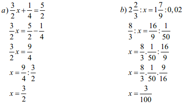
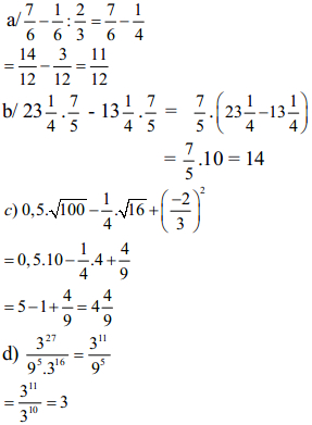
Câu 1 (2 điểm)

Câu 2 (2 điểm)

Câu 3 (1 điểm)
a) y = f(x) = x -2
f(-1) = (-1) -2 = -3;
f(0) = 0-2 = -2
b) f(x) = 0
Suy ra: x -2 = 0
x =2
Câu 4 (1 điểm)
Gọi các cạnh của tam giác lần lượt là x, y, z

Vậy ba cạnh của tam giác là 10cm; 15cm; 20cm
- Vẽ hình đúng:
- Ghi GT và KL đúng

Câu 5 (3 điểm)

Câu 6 (1 điểm)
Ta có: 12 + 22 + 32 + ... + 102 = 385
A = 1002 + 2002 + 3002 + ... + 10002
= (100.1)2 + (100.2)2 + (100.3)2 + ... + (100.10)2
= 1002(12 + 22 + 32 + ... + 102)
= 10000.385 = 3850000
------------------------------------------------
Như vậy, VnDoc.com đã gửi tới các bạn Đề thi học kì 1 môn Toán lớp 7 trường THCS Lương Phú, Thái Nguyên năm 2015 - 2016. Ngoài ra, các em học sinh có thể tham khảo thêm các tài liệu khác do VnDoc sưu tầm và chọn lọc như Giải Toán 7, Giải SBT Toán 7, Chuyên đề Toán 7,... để học tốt môn Toán hơn và chuẩn bị cho các bài thi đạt kết quả cao.