Đề thi học kì 1 môn Toán lớp 8 Phòng GD&ĐT Tây Hòa, Phú Yên năm học 2015 - 2016
Đề thi học kì 1 môn Toán lớp 8
Đề thi học kì 1 môn Toán lớp 8 Phòng GD&ĐT Tây Hòa, Phú Yên năm học 2015 - 2016. Đề thi bám sát kiến thức trong SGK Toán lớp 8 học kì 1, đề gồm 5 câu hỏi tự luận với thời gian thực hiện bài thi là 90 phút. Mời các bạn tham khảo.
Đề thi học kì 1 môn Toán lớp 8 Phòng GD&ĐT Bình Giang, Hải Dương năm học 2015 - 2016
Đề thi học kì 1 môn Toán lớp 8 Phòng GD&ĐT Tứ Kỳ, Hải Dương năm học 2015 - 2016
| PHÒNG GIÁO DỤC VÀ ĐÀO TẠO TÂY HÒA | ĐỀ KIỂM TRA HỌC KÌ I NĂM HỌC 2015 – 2016 Môn: TOÁN - LỚP 8 Thời gian: 90 phút (Không kể thời gian giao đề) |
Câu 1. (3,0 điểm)
a) Làm tính nhân: 5(x - 4y)
b) Rút gọn biểu thức: (x - y)2 + (x + y)2
c) Phân tích đa thức thành nhân tử: x(x + y) + 3x + 3y
d) Tìm x biết: 2(x - 3) + x2 – 3x = 0
Câu 2. (1,5 điểm)
a) Làm tính chia: (6x5y2 - 9x4y3 + 15x3y4) : 3x3y2
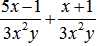
b) Thực hiện phép tính: ![]()
Câu 3. (1,5 điểm)
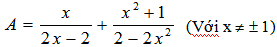
Cho biểu thức: ![]()
a) Rút gọn biểu thức A
b) Tìm giá trị x để A = ½
Câu 4. (3,0 điểm)
Cho hình thoi ABCD có AC = 10cm, BD = 8cm. Gọi M, N, P, Q lần lượt là trung điểm của cạnh AB, BC, CD, DA.
a) Chứng minh rằng tứ giác MNPQ là hình bình hành.
b) Chứng minh rằng tứ giác MNPQ là hình chữ nhật.
c) Tính diện tích tứ giác MNPQ.
Câu 5. (1,0 điểm)
Tìm giá trị nhỏ nhất của biểu thức B = x2 - 4x + 1.
ĐÁP ÁN ĐỀ THI HỌC KÌ 1 MÔN TOÁN LỚP 8


