Đề thi học kì 1 môn Toán, Tiếng Việt lớp 1 trường tiểu học Tam Hưng, Hà Nội năm 2015 - 2016
Đề kiểm tra học kì môn Toán Tiếng Việt lớp 1
Đề thi học kì 1 môn Toán, Tiếng Việt lớp 1 trường tiểu học Tam Hưng, Hà Nội năm học 2015 - 2016 có đáp án kèm theo giúp các em học sinh ôn tập, củng cố kiến thức chuẩn bị tốt cho bài thi cuối học kì 1. Sau đây mời các bạn cùng tham khảo và tải về.
Đề thi học kì 1 môn Toán, Tiếng Việt lớp 1 năm 2015 - 2016 trường tiểu học Bình Hòa Hưng
Đề kiểm tra Học kỳ I lớp 1 năm 2012 - 2013, Trường tiểu học Gia Hòa tỉnh Hải Dương
Đề thi học kì 1 môn Toán lớp 1
|
Trường Tiểu học Tam Hưng Họ và tên: ………………………………………......... Lớp: 1…. Ngày kiểm tra: 05/01/2016 |
KIỂM TRA ĐỊNH KÌ CUỐI KÌ 1 NĂM HỌC: 2015 – 2016 MÔN: TOÁN - LỚP 1 (Thời gian làm bài 40 phút) |
PHẦN I. TRẮC NGHIỆM (2 ĐIỂM)
Khoanh vào chữ cái đặt trước câu trả lời đúng:
Bài 1. (0,5đ): Xếp theo thứ tự từ bé đến lớn là:
A. 1, 0, 2, 3, 4, 5, 6, 7, 8, 9, 10
B. 2, 0, 1, 3, 4, 5, 6, 7, 8, 9, 10
C. 0, 1, 2, 3, 4, 5, 6, 7, 8, 9, 10
Bài 2. (1đ): Phép tính đúng là:
a)

b)
A. 5 + 3 – 2 = 8 B. 3 + 5 – 2 = 10 C. 5 - 2 + 3 = 6
Bài 3. (0,5đ) Hình vẽ bên có:

A. 3 hình tam giác.
B. 4 hình tam giác.
C. 5 hình tam giác.
PHẦN II: TỰ LUẬN( 8 ĐIỂM)
Bài 1. (1đ) Tính:

Bài 2. (2đ) Tính:
5 + 5 - 4 = 9 - 6 + 7 =
3 + 3 - 2 = 10 - 5 -1 =
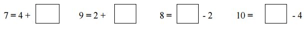
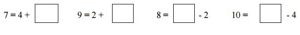
Bài 3. (2đ) Điền số thích hợp vào ô trống:

Bài 4 (2đ). Viết phép tính thích hợp
a) Có: 8 bông hoa b) Có: 9 quả bóng
Thêm: 2 bông hoa Bớt: 4 quả bóng
Có tất cả: ....... bông hoa ? Còn: ........ quả bóng?
![]()
Bài 5. (1đ): Số?
a)

b)

Đáp án và hướng dẫn chấm điểm

Đề thi học kì 1 lớp 1 môn Tiếng Việt
|
Trường Tiểu học Tam Hưng Họ tên: ………………………………………. Lớp: 1…. Ngày kiểm tra: 05/01/2016 |
KIỂM TRA ĐỊNH KÌ CUỐI KÌ 1 NĂM HỌC: 2015 - 2016 MÔN: TIẾNG VIỆT - LỚP 1 (Thời gian làm bài 60 phút) |
PHẦN A: KIỂM TRA ĐỌC (10 điểm):
Giáo viên kiểm tra học sinh đọc các từ, tiếng, từ ứng dụng đã học từ tuần 1 đến tuần 16 (trong SGK TV 1 – T1).
PHẦN B: KIỂM TRA VIẾT (10 điểm)
Bài 1. (1 điểm) Chọn vần ay hay ây thích hợp điền vào chỗ chấm chấm.
máy b......; đám m.......; gà g.......; cây c..........
Bài 2. (2 điểm): Viết đúng các vần sau: (mỗi vần viết 1 dòng): uôn, uôm, ươn, iêm.
Bài 3. (2 điểm): Viết đúng các từ ngữ sau: (mỗi từ ngữ viết 1 dòng)
trái lựu, nhà rông, ao chuôm, mùa xuân,
Bài 4. (5 điểm): Viết đúng các dòng thơ:
Bay cao cao vút
Chim biến mất rồi
Chỉ còn tiếng hót
Làm xanh da trời.
Đáp án và hướng dẫn giải
PHẦN A: Kiểm tra đọc (10 điểm).
Học sinh đọc đúng các từ, câu, đọc đúng bài ứng dụng, trả lời câu hỏi đúng cho 10 điểm.
PHẦN B: Kiểm tra viết (10 điểm)
Bài 1: (1 điểm):
- Học sinh điền đúng mỗi vần vào chỗ chấm chấm cho 0,25 điểm.
(máy bay, đám mây, gà gáy, cây cối).
- Học sinh điền sai mỗi vần trừ 0,25 điểm.
Bài 2: (2 điểm)
- Học sinh viết mỗi vần 1 dòng đúng cho 0,5 điểm.
- Học sinh viết sai mỗi vần trừ 0,25 điểm (Tuỳ theo mức độ HS viết sai cỡ chữ mà GV trừ điểm cho phù hợp).
Bài 3: (2 điểm)
- Học sinh viết mỗi từ 1 dòng đúng cho 0,5 điểm.
- Học sinh viết sai mỗi vần trừ 0,25 điểm (Tuỳ theo mức độ HS viết sai cỡ chữ mà GV trừ điểm cho phù hợp).
Bài 4: (5 điểm)
- Viết đúng mỗi dòng thơ cho 1,25 điểm.
- Học sinh viết sai mỗi vần trừ 0,25 điểm (Tuỳ theo mức độ HS viết sai cỡ chữ mà GV trừ điểm cho phù hợp).