Đề thi học kì 2 môn Toán lớp 10 trường THPT Đoàn Thượng, Hải Dương năm học 2015 - 2016
Đề thi học kì 2 môn Toán lớp 10
Đề thi học kì 2 môn Toán lớp 10 trường THPT Đoàn Thượng, Hải Dương năm học 2015 - 2016 được VnDoc.com sưu tầm và đăng tải là tài liệu học tập hữu ích dành cho các em học sinh lớp 10, giúp các em ôn tập kiến thức Toán học, đạt kết quả tốt trong bài thi định kì cuối kì II sắp tới. Mời các bạn tham khảo.
Đề thi học kì 2 môn Toán lớp 10 trường THPT Chu Văn An, Hà Nội năm học 2015 - 2016
Đề thi học kì 2 môn Ngữ văn lớp 10 trường THPT Nguyễn Chí Thanh, TP. Hồ Chí Minh năm học 2015 - 2016
|
SỞ GD VÀ ĐT HẢI DƯƠNG TRƯỜNG THPT ĐOÀN THƯỢNG |
ĐỀ KIỂM TRA HỌC KÌ 2 NĂM HỌC 2015 – 2016 MÔN TOÁN – KHỐI 10 Thời gian làm bài: 90 phút |
Bài 1 (3 điểm)
a) Giải bất phương trình: ![]()
b) Giải bất phương trình: ![]()
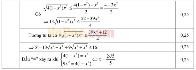
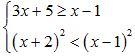
c) Giải hệ bất phương trình: 
Bài 2 (1 điểm)
Cho bất phương trình x2 - (m - 5)(m + 6) ≤ 0.
Tìm m để bất phương trình trên vô nghiệm.
Bài 3 (2 điểm)
a) Rút gọn biểu thức ![]()
b) Cho sinα = 3/5, π/2 < α < π. Tính cosα và tính giá trị của biểu thức
![]()
Bài 4 (3 điểm)
Trong mặt phẳng Oxy cho hai điểm M(-1; 0), N(0; 3).
1) Viết phương trình tổng quát của đường thẳng MN.
2) Viết phương trình đường tròn đi qua 3 điểm M, N và O (với điểm O là gốc tọa độ)
3) Tìm điểm P sao cho tam giác MNP cân tại P và có diện tích bằng 5 (đvdt)
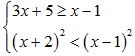
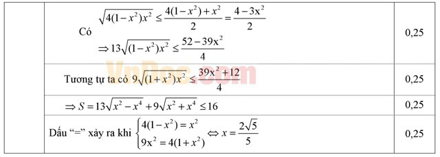
Bài 5 (1 điểm) Cho x ∈ [0; 1]. Tìm giá trị lớn nhất của biểu thức sau:
![]()
Đáp án đề thi học kì 2 môn Toán lớp 10


