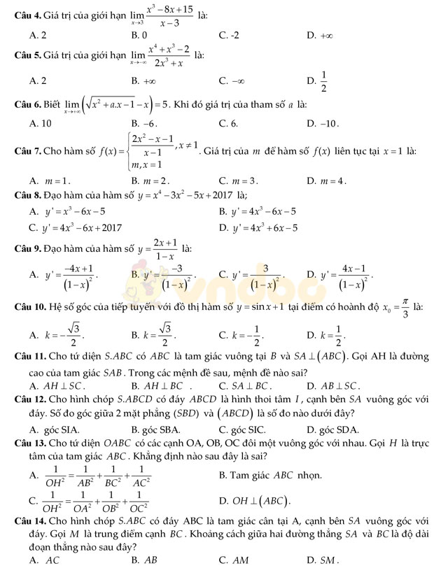
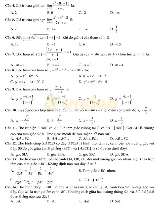
Đề thi học kì 2 môn Toán lớp 11 trường THPT chuyên Amsterdam, Hà Nội năm học 2016 - 2017
Đề kiểm tra học kỳ 2 môn Toán lớp 11
Lớp:
Lớp 11
Môn:
Toán
Dạng tài liệu:
Đề thi
Thời gian:
Học kì 2
Loại File:
PDF
Phân loại:
Tài liệu Tính phí
Đề thi học kì 2 lớp 11 môn Toán
Đề thi học kì 2 môn Toán lớp 11 trường THPT chuyên Amsterdam, Hà Nội năm học 2016 - 2017. Đề thi do các thầy cô giáo thuộc tổ Toán - Tin trường Amsterdam biên soạn nhằm kiểm tra, đánh giá năng lực học tập của học sinh. Mời các bạn cùng tham khảo để chuẩn bị tốt cho kì thi sắp tới.
Đề thi học kì 2 môn Toán lớp 11 trường THPT Hai Bà Trưng, Thừa Thiên Huế năm học 2016 - 2017
Bộ đề thi học kì 2 môn Toán lớp 11 trường THPT chuyên Lương Thế Vinh, Đồng Nai năm học 2016 - 2017


