Đề thi học kì 2 môn Toán lớp 11 trường THPT Marie Curie năm học 2015 - 2016
Đề kiểm tra học kì II môn Toán lớp 11 có đáp án
Lớp:
Lớp 11
Môn:
Toán
Dạng tài liệu:
Đề thi
Thời gian:
Học kì 2
Loại File:
PDF
Phân loại:
Tài liệu Tính phí
Đề thi học kì 2 môn Toán lớp 11
Đề thi học kì 2 môn Toán lớp 11 trường THPT Marie Curie năm học 2015 - 2016 được VnDoc.com sưu tầm và đăng tải là đề kiểm tra học kì II lớp 11 hay dành cho thầy cô và các bạn học sinh tham khảo, luyện đề. Đây là tài liệu ôn tập hữu ích giúp các học sinh luyện tập và nâng cao kiến thức, ôn thi học kì 2 hiệu quả.
Đề thi học kì 2 môn Ngữ văn lớp 11 trường THPT Marie Curie năm học 2015 - 2016
Đề thi học kì 2 lớp 11 môn Toán năm 2015 Sở GD-ĐT tỉnh Bắc Ninh

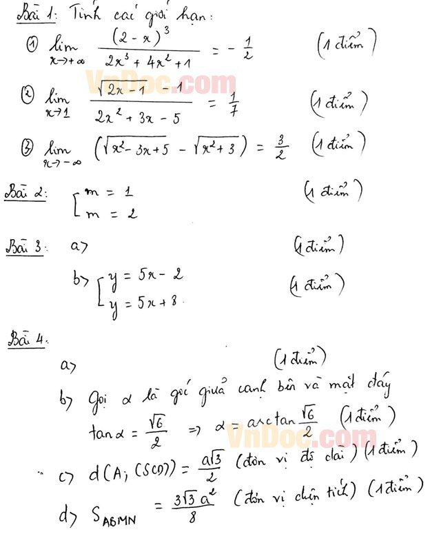
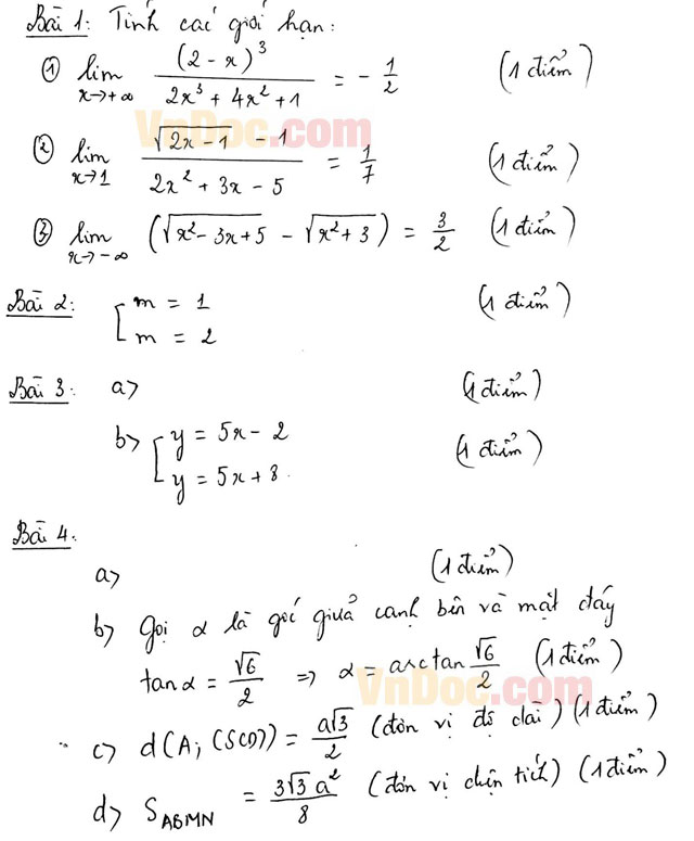
Đáp án đề thi học kì 2 môn Toán lớp 11
