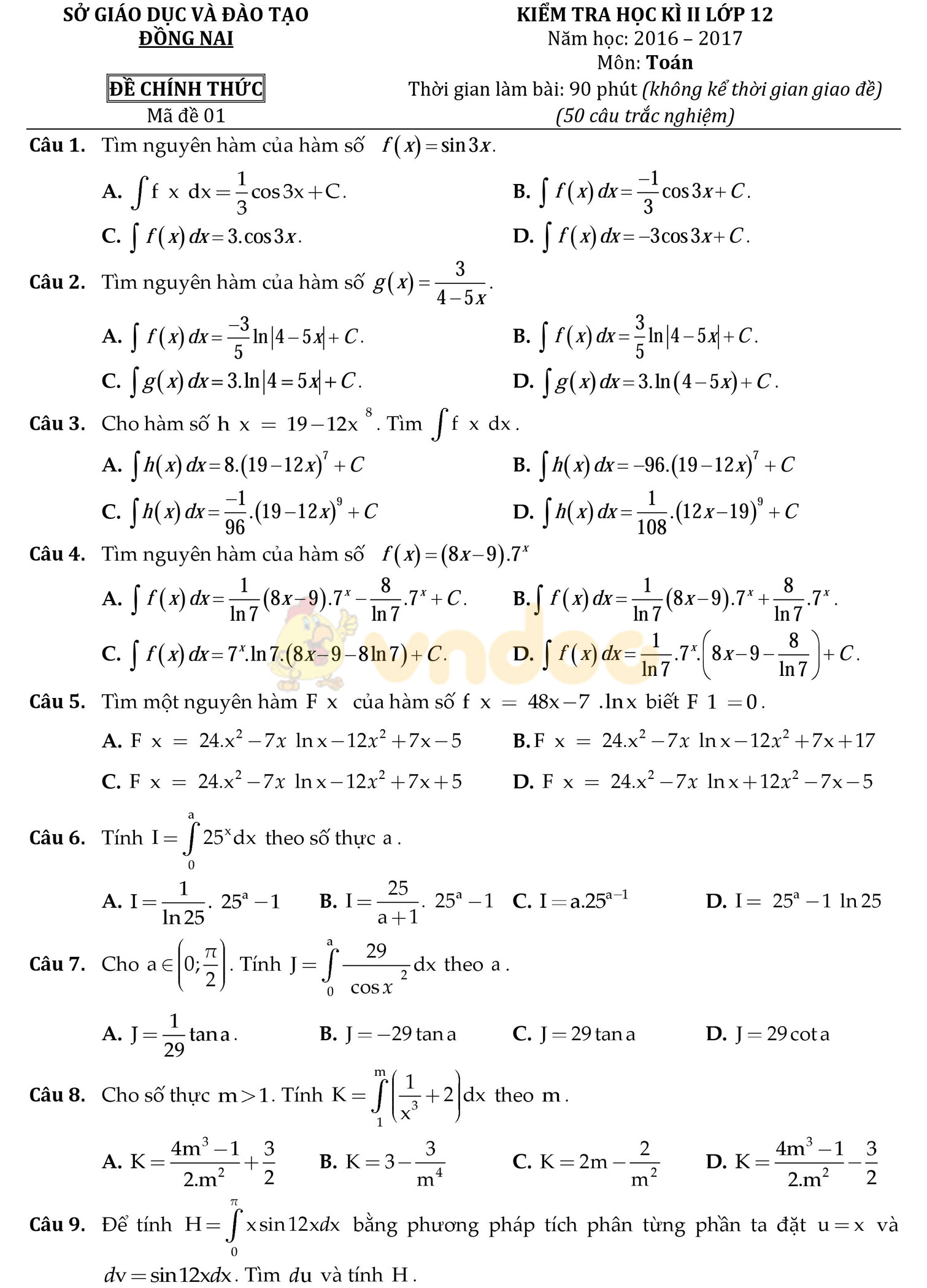
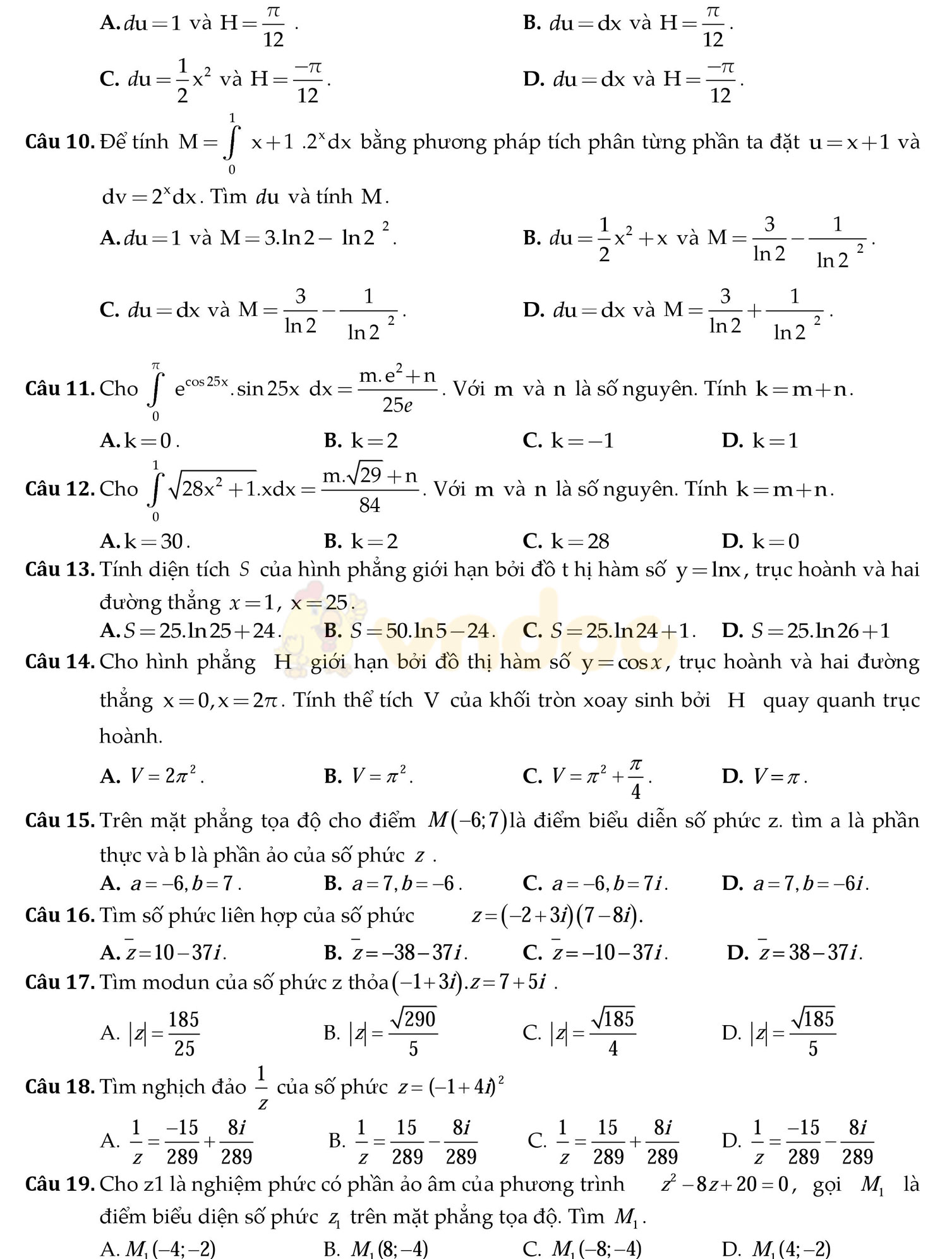
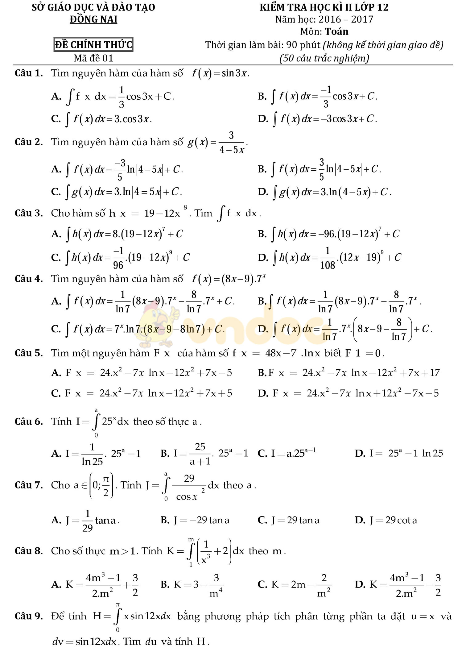
Đề thi học kì 2 môn Toán lớp 12 Sở GD&ĐT Đồng Nai năm học 2016 - 2017
Đề thi học kì 2 môn Toán lớp 12
Thư viện đề thi VnDoc xin giới thiệu tới quý thầy cô và các bạn học sinh lớp 12 tài liệu: Đề thi học kì 2 môn Toán lớp 12 Sở GD&ĐT Đồng Nai năm học 2016 - 2017. Đề thi giúp các bạn học sinh làm quen với cấu trúc đề thi học kì, củng cố phần kiến thức đã được học trong chương trình học kì 2. Đối với quý thầy cô đây là tài liệu tham khảo hay phục vụ công tác giảng dạy, ôn thi cho học sinh.
Đề thi học kì 2 môn Toán lớp 12 trường THPT chuyên Hạ Long, Quảng Ninh năm học 2016 - 2017
Bộ đề thi học kì 2 môn Toán lớp 12 Sở GD&ĐT Đồng Tháp năm học 2016 - 2017 (Có đáp án)
Đề thi học kì 2 môn Toán lớp 12 Sở GD&ĐT Hải Phòng năm học 2016 - 2017
Mời làm: Đề thi học kì 2 môn Toán lớp 12 Sở GD&ĐT Đồng Nai năm học 2016 - 2017 Online







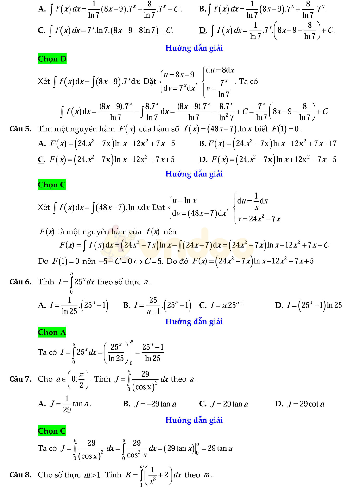
Đáp án đề thi học kì 2 môn Toán lớp 12



Tài liệu vẫn còn, mời các bạn tải về