Đề thi học kì 2 môn Toán lớp 12 trường THPT Trần Hưng Đạo, TP Hồ Chí Minh năm học 2016 - 2017
Đề thi cuối học kì 2 lớp 12 môn Toán
Đề thi học kì 2 môn Toán lớp 12 trường THPT Trần Hưng Đạo, TP Hồ Chí Minh năm học 2016 - 2017 có đáp án kèm theo được VnDoc sưu tầm, chọn lọc giúp các em học sinh ôn tập, củng cố kiến thức, chuẩn bị cho bài thi cuối kì 2, cuối năm học đạt kết quả cao. Chúc các em học tốt.
Đề thi học kì 2 môn Toán lớp 12 trường THPT Nguyễn Du, TP Hồ Chí Minh năm học 2016 - 2017
Đề thi học kì 2 môn Toán lớp 12 trường THPT chuyên Nguyễn Huệ, Hà Nội năm học 2016 - 2017
|
SỞ GD & ĐT TP. HỒ CHÍ MINH TRƯỜNG THPT TRẦN HƯNG ĐẠO
|
ĐỀ THI HỌC KỲ II NĂM 2017 MÔN TOÁN – KHỐI 12 Ngày thi: 25/04/2017 Thời gian làm bài: 60 phút; (42 câu trắc nghiệm) |
|
|
|
Mã đề thi 128 |
|
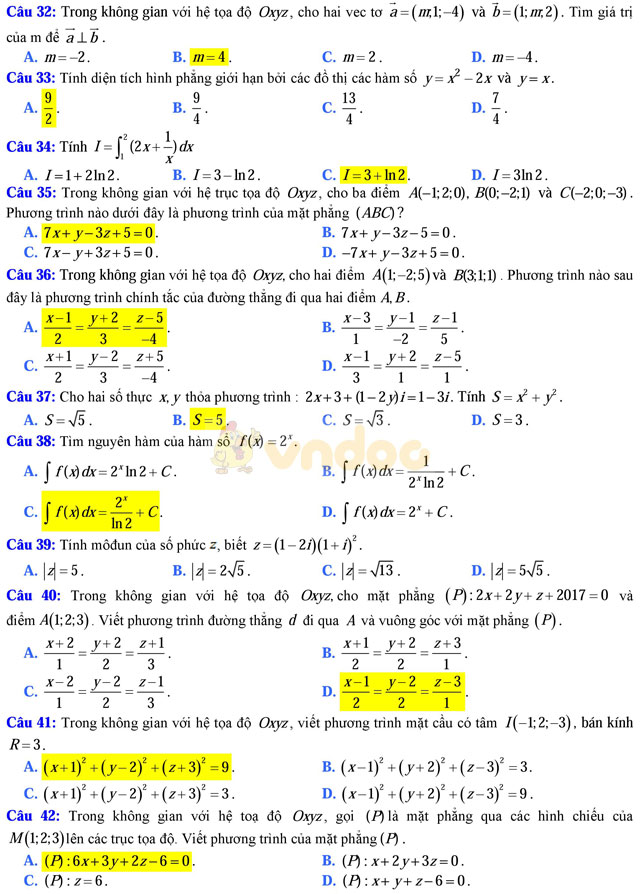
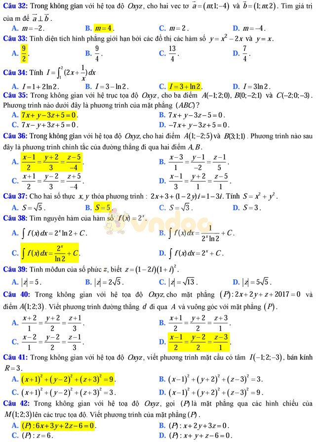
I-PHẦN TRẮC NGHIỆM (lớp 12a1 12a20 chỉ làm câu 1 câu 30) (lớp 12a21 chỉ làm từ câu 1 câu 18 và câu 31 câu 42)
PHÂN CHUNG DÀNH CHO TẤT CẢ HỌC SINH




-----HẾT-----
SỞ GD & ĐT TP. HỒ CHÍ MINH
TRƯỜNG THPT TRẦN HƯNG ĐẠO
ĐỀ THI HỌC KỲ II NĂM HỌC 2016-2017
MÔN TOÁN – KHỐI 12
Ngày thi: 25/04/2017
Thời gian làm bài: 30 phút
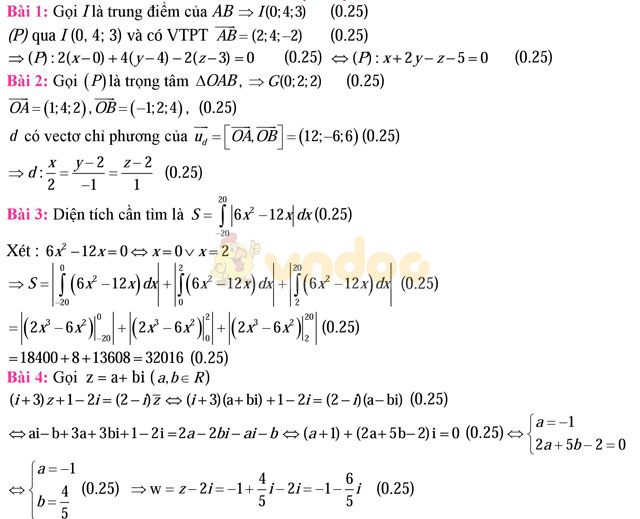
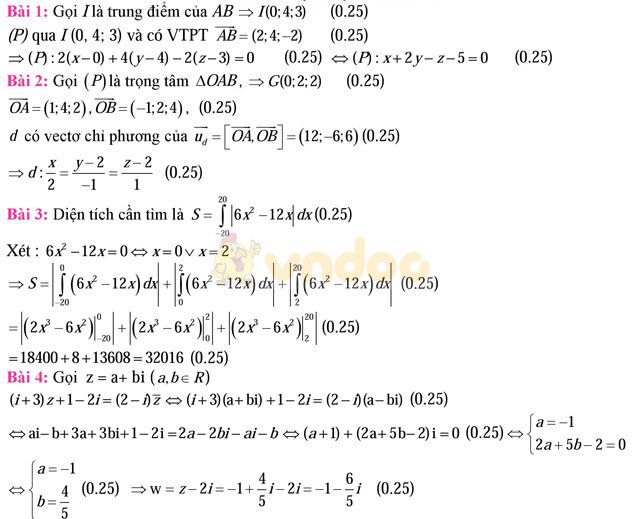
II-PHẦN TỰ LUẬN (CHO TẤT CẢ HỌC SINH)
Bài 1: (1,0 điểm) Trong không gian với hệ tọa độ Oxyz, cho hai điểm A(-1;2;4), B(1;6;2). Viết phương trình mặt phẳng trung trực của đoạn thẳng AB.
Bài 2: (1,0 điểm) Trong không gian với hệ tọa độ Oxyz cho hai điểm A(1;4;2) và B(-1;2;4). Viết phương trình đường thẳng d đi qua trọng tâm của tam giác OAB và vuông góc với mặt phẳng (OAB).
Bài 3: (1,0 điểm) Tính diện tích hình phẳng giới hạn bởi các đường: y = 6x2 - 12, y = 0, x = -20, x = 20.
Bài 4: (1,0 điểm) Cho số phức z thỏa mãn hệ thức
. Tìm số phức w = z - 2i.
---------------------HẾT-------------------
Họ và tên:.......................................................SBD...........................
ĐÁP ÁN TỰ LUẬN - TOÁN 12
