Đề thi học kì 2 môn Toán lớp 4 trường Tiểu học số 1 Ân Đức, Bình Định năm 2016 - 2017
Đề thi học kì 2 môn Toán lớp 4 có đáp án
Đề thi học kì 2 môn Toán lớp 4 trường tiểu học số 1 Ân Đức, Bình Định năm học 2016 - 2017 có đáp án kèm theo cùng với dạng bài tập trọng tâm giúp các em học sinh củng cố kiến thức hệ thống lại các dạng bài tập ôn thi cuối học kì 2 đạt kết quả cao. Mời các em cùng tham khảo tải về chi tiết có bảng ma trận đề thi theo Thông tư 22.
Bộ đề thi học kì 2 môn Toán lớp 4 năm học 2016 - 2017 theo Thông tư 22
Đề thi học kì 2 môn Toán lớp 4 năm học 2016 - 2017 theo Thông tư 22 - Đề số 2
Đề thi học kì 2 môn Toán lớp 4 theo Thông tư 22 năm học 2016 - 2017 - Đề số 1
|
Trường TH số 1 Ân Đức Học sinh lớp: 4… Họ và tên:…………………….. ………………………….…… |
KIỂM TRA CUỐI HỌC KÌ 2 Năm học: 2016 - 2017 Môn: TOÁN - Lớp 4 Thời gian: 40 phút |
|
|
|
Giám thị 1
|
Giám thị 2 |
A. PHẦN TRẮC NGHIỆM: (3 điểm)
Khoanh tròn trước câu trả lời đúng.

Bài 3. Hình vuông có cạnh 12cm. Vậy diện hình vuông là: (0,5 điểm)
a. 72 cm2 b. 104 m c. 144 cm2 d. 48 cm2
Bài 4. Số nào vừa chia hết cho 3, vừa chia hết cho 5 là: (0,5 điểm)
a. 753 b. 573 c. 375 d. 357
Bài 5. 4 giờ 24 phút = ............. phút. ( 0,5 điểm)
![]()
Xếp theo thứ tự từ bé đến lớn...................................
B. PHẦN TỰ LUẬN: (3 điểm)
Bài 1. Tính (2 điểm)

Bài 2. Tính giá trị của biểu thức: (1 điểm)
1001 + 305 x 52 =..........................
=..........................
Bài 3. Tìm y ( 1 điểm)

Bài 4. (2 điểm) Một hình chữ nhật có nửa chu vi là 125 cm, chiều rộng bằng 2/3 chiều dài. Tính chiều dài và rộng của chữ nhật đó?
Giải
.......................................................................................
.......................................................................................
.......................................................................................
.......................................................................................
Bài 5. Hiệu của hai số là số lớn nhất có hai chữ số. Số bé bằng 4/7 số lớn. Tìm 2 số đó?
Giải
.......................................................................................
.......................................................................................
ĐÁP ÁN KIỂM TRA CUỐI HỌC KÌ 2
Năm học: 2016 - 2017
Môn: TOÁN - Lớp 4
A. Phần trắc nghiệm
Bài 1. d
Bài 2. b
Bài 3. c
Bài 4. c
Bài 5. 264 phút
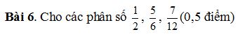
Bài 6. 1/2, 5/6, 7/12
B. Phần tự luận
Bài 1. Mỗi bài đúng đạt 0,5 điểm.
Nếu quy đồng đúng mà thực hiện sai sẽ không đạt điểm.
Bài 2. Thực hiện đúng đạt 1 điểm.
1001 + 305 x 52 = 1001 + 15860 (0,5đ)
= 16861 (0,5đ)
Bài 3. Đúng đạt 1 điểm

Bài 4. HS giải đúng đạt 2đ
Tổng số phần bằng nhau là
2 + 3 = 5 (phần)
Chiều rộng hình chữ nhật là
125 : 5 x 2 = 50 (m)
Chiều dài hình chữ nhật là
125 : 5 x 5 = 75 (m)
Đáp số: Chiều rộng: 50m
Chiều dài: 75m
Bài 5: Số lớn nhất có hai chữ số là 99. Vậy hiệu của 2 số đó là 99 (0.25đ)
Hiệu số phần bằng nhau: 7 – 4 = 3 (phần) (0,25 đ)
Số lớn là:
99 : 3 x 7 = 231
Số bé là
231 – 99 = 132 0,25đ
Đáp số: Số bé: 132
Số lớn: 231