Đề thi học kì 2 môn Toán lớp 4 trường tiểu học Tam Quan Bắc năm 2015 - 2016
Đề thi học kì 2 môn Toán lớp 4
Thư viện đề thi lớp 4 xin giới thiệu Đề kiểm tra cuối học kì 2 môn Toán lớp 4 năm học 2015 - 2016 trường Tiểu học Tam Quan Bắc. Đây là đề kiểm tra định kì cuối học kì 2 lớp 4 môn Toán có đáp án kèm theo. Tài liệu này giúp các em học sinh ôn luyện kiến thức nhằm chuẩn bị tốt cho bài thi cuối năm. Mời các em tham khảo
Đề kiểm tra cuối học kì 2 môn Toán lớp 4 năm học 2014-2015 trường Tiểu học Sông Nhạn, Đồng Nai
Đề kiểm tra cuối học kì 2 môn Tiếng Việt lớp 4 năm học 2014-2015 trường Tiểu học Sông Nhạn, Đồng Nai
Trường TH Tam Quan Bắc
Đề thi học kì II
Môn Toán - Lớp: 4
Năm 2015 - 2016
Đề 1
Phần I. Trắc nghiệm: Khoanh tròn vào câu trả lời đúng.
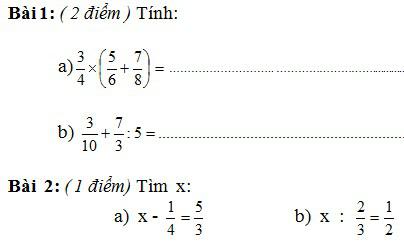
Câu 1: (2 điểm)

d/ Tìm x: x : 17 = 11256
A. x= 11256 B. x= 191352 C. x= 191532 D. x= 191235
Câu 2: (1 điểm) Trên bản đồ tỉ lệ 1: 100 000, quãng đường từ A đến B đo được 1cm. Độ dài thật của quãng đường từ A đến B là:
A. 100 000m B. 10 000m C. 1000m
Câu 3: (1 điểm) Đuôi cá nặng 350 gam. Đầu cá nặng bằng đuôi cá cộng với một nửa thân cá. Thân cá nặng bằng đầu cá cộng đuôi cá. Hỏi cả con cá nặng bao nhiêu?
A. 2900g B. 3kg C. 2kg 700g D. 2800g
Phần II. Tự luận:

Bài 3: (2 điểm)
Một thửa ruộng hình chữ nhật có chiều dài 72m và chiều rộng bằng 2/3 chiều dài. Biết rằng cứ 1m2 ruộng đó thì thu hoạch được 3/4 kg thóc. Hỏi trên thửa ruộng đó người ta thu hoạch được bao nhiêu thóc?

Đáp án đề thi học kì 2 môn Toán lớp 4
Phần I. Trắc nghiệm (4 điểm):
Câu 1: (2 điểm) Mỗi ý đúng được 0,5 điểm
Câu a: B
Câu b: D
Câu c: C
Câu d: B
Câu 2: (1 điểm): C
Câu 3: (1 điểm): D
Phần II. Tự luận: (6 điểm):

Bài 3: (2 điểm)
Chiều rộng của thửa ruộng đó là
72 x 2/3 = 48 (m)
Diện tích của thửa ruộng đó là:
72 48 = 3456 (m)
Trên thửa ruộng đó người ta thu hoạch được là:
3/4 x 3456 = 2592 (kg) Đáp số: 2592kg