Đề thi học kì 2 môn Toán lớp 9 phòng GD&ĐT Đại Thành, Bắc Giang năm 2015 - 2016
Đề thi học kì 2 môn Toán lớp 9
Đề thi học kì 2 môn Toán lớp 9 phòng GD&ĐT Đại Thành, Bắc Giang năm 2015 - 2016 có đáp án kèm theo được VnDoc sưu tầm và giới thiệu tới các bạn học sinh lớp 9 nhằm học tốt môn toán, ôn tập lại kiến thức và tự luyện tập nhằm đạt điểm cao trong các bài thi giữa kì, thi cuối kì, ôn thi vào lớp 10 môn Toán. Mời các bạn tham khảo.
Đề thi giữa học kì 2 môn Toán lớp 9 phòng GD&ĐT Bình Giang năm 2014 - 2015
Đề thi học kì 2 môn Ngữ văn lớp 9 phòng GD&ĐT Đại Thành, Bắc Giang năm 2015 - 2016
| UBND HUYỆN ĐẠI THÀNH PHÒNG GIÁO DỤC VÀ ĐÀO TẠO |
KIỂM TRA HỌC KÌ II NĂM HỌC 2015 - 2016 MÔN: TOÁN 9 Thời gian làm bài: 90 phút (Đề này gồm 05 câu, 01 trang) |
Câu 1 (2,0 điểm): Giải các phương trình và hệ phương trình sau:
1. x2 - 7 = -6
Câu 2 (2,0 điểm):
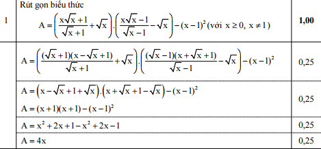
1. Rút gọn biểu thức:
(với x ≥ 0, x ≠ 1)
2. Tìm hai số tự nhiên biết: Số lớn chia cho số bé được thương là 6, tích hai số không thay đổi nếu số lớn bớt đi 6 và số bé tăng thêm 2.
Câu 3 (2,0 điểm): Cho hàm số: y = 2x2 (*)
1. Tìm tọa độ giao điểm của đồ thị hàm số (*) với đường thẳng (d):y = 2mx - m - 2x + 2 tại hai điểm A(xA, yA); B(xB, yB) sao cho xA - yB = yA - xB - 1 .
2. Tìm m để đồ thị hàm số (*) cắt đường thẳng (d'): tại hai điểm sao cho .
Câu 4 (3,0 điểm): Cho bốn điểm A, B, C, D theo thứ tự nằm trên đường tròn tâm O. AC cắt BD tại I.
1. Chứng minh IA.IC = IB.ID.
2. Gọi M, N lần lượt là điểm chính giữa cung nhỏ AB và cung nhỏ BC. MN cắt AB tại E và cắt BC tại F. Chứng minh BE = BF.
3. Chứng minh AC.BD = AB.CD + BC.AD.
Câu 5 (1,0 điểm): Cho hai số thực x, y thỏa mãn: ![]()
Tìm giá trị lớn nhất của biểu thức:
.
Đáp án đề thi học kì 2 môn Toán lớp 9
Câu 1:

Câu 2:


Câu 3:

Câu 4:


Câu 5:
