Đề thi học kì 2 môn Vật lý lớp 11 trường THPT Trần Hưng Đạo, TP Hồ Chí Minh năm học 2016 - 2017
Đề thi học kì 2 lớp 11 môn Vật lý
Đề thi học kì 2 môn Vật lý lớp 11 trường THPT Trần Hưng Đạo, TP Hồ Chí Minh năm học 2016 - 2017 có đáp án đi kèm, giúp các bạn học sinh củng cố kiến thức, rèn luyện kỹ năng giải đề, biết cách phân bổ thời gian làm bài thi sao cho hợp lý nhất để đạt được điểm số cao. Mời các bạn cùng tham khảo.
Đề thi học kì 2 môn Vật lý lớp 11 trường THPT Lý Thái Tổ, Bắc Ninh năm học 2016 - 2017
SỞ GD & ĐT TP. HỒ CHÍ MINH
TRƯỜNG THPT TRẦN HƯNG ĐẠO
ĐỀ THI HỌC KỲ II NĂM HỌC 2016-2017
MÔN VẬT LÝ – KHỐI 11
Ngày thi: 24/04/2017
Thời gian làm bài: 45 phút
A. LÝ THUYẾT: (3 điểm)
Câu 1: (1 điểm) Thế nào là phản xạ toàn phần? Điều kiện để có phản xạ toàn phần
Câu 2: (1 điểm) Phát biểu và viết công thức định luật Faraday về hiện tượng cảm ứng điện từ.
Câu 3: (1 điểm) Sự điều tiết của mắt là gì? Nêu các đặc điểm .
B. BÀI TOÁN: (7 điểm)
Bài 1: (1,5 điểm) Một khung dây phẳng, diện tích 40 (cm2), gồm 1000 vòng dây đặt trong từ trường đều. Vectơ cảm ứng từ làm thành với mặt phẳng khung dây một góc 300 và có độ lớn B = 6.10-4 (T).
a) Tính từ thông gởi qua một vòng dây
b) Trong khoảng thời gian 0,08 (s), người ta làm cho từ trường giảm đều đến 2.10-4T. Tính độ lớn suất điện động cảm ứng xuất hiện trong khung dây trong khoảng thời gian biến đổi trên?
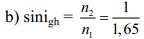
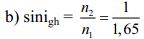
Bài 2: (1,5 điểm) Thuỷ tinh có chiết suất n = 1,65.
a) Chiếu tia sáng từ không khí sang thuỷ tinh dưới góc tới i = 500. Tính góc khúc xạ và tính góc lệch giữa phương tia tới và tia khúc xạ.
b) Nếu chiếu tia sáng ngược lại từ thuỷ tinh ra không khí cũng dưới góc tới i như trên thì có tia khúc xạ không? Tại sao?
Bài 3: (2 điểm) Một thấu kính hội tụ có độ tụ 5dp. Một vật sáng AB cao 4cm vuông góc với trục chính của thấu kính, cách thấu kính 40cm.
a) Xác định vị trí ảnh, độ phóng đại và chiều cao ảnh.
b) Giữ thấu kính cố định, để thu được ảnh cùng chiều với vật và khoảng cách giữa vật và ảnh là 10 cm thì phải đặt vật cách thấu kính một đoạn bao nhiêu? Tại sao?
Bài 4: (2 điểm) Mắt cận có điểm cực cận cách mắt 12,5cm và điểm cực viễn cách mắt 40cm.
a) Tính độ tụ kính phải đeo sát mắt để nhìn rõ vật ở xa và cho biết khi đeo kính mắt nhìn rõ vật gần nhất cách mắt bao nhiêu?
b) Nếu đeo sát mắt một kính có tiêu cự f1 = –2dp thì nhìn rõ vật xa nhất cách mắt bao nhiêu?
----------------HẾT----------------
Đáp án đề thi học kì 2 lớp 11 môn Vật lý
A. LÝ THUYẾT: (3 điểm)
Câu 1: (1đ) Thế nào là phản xạ toàn phần? Điều kiện để có phản xạ toàn phần
- Định nghĩa: Phản xạ toàn phần là hiện tượng phản xạ toàn bộ tia sáng tới, xảy ra ở mặt phân cách giữa 2 môi trường trong suốt.
- Điều kiện để có phản xạ toàn phần :
- Ánh sáng truyền từ một môi trường tới một môi trường chiết quang kém hơn (n2 < n1)
- Góc tới lớn hơn hoặc bằng góc tới hạn (i ≥ igh).
Câu 2: (1đ) Phát biểu và viết công thức định luật Faraday về hiện tượng cảm ứng điện từ.
Độ lớn của suất điện động cảm ứng xuất hiện trong mạch kín tỉ lệ với tốc độ biến thiên từ thông qua mạch kín đó. (0,5đ)
![]()
Câu 3: (1đ) Trình bày các đặc điểm về sự điều tiết
Sự điều tiết: là hoạt động của mắt làm thay đổi tiêu cự của mắt để cho ảnh của các vật ở cách mắt những khoảng khác nhau vẫn được tạo ra tại màng lưới.
- Khi mắt ở trạng thái không điều tiết tiêu cự của mắt lớn nhất (fMAX)
- Khi các cơ của mắt bóp tối đa ,mắt ở trạng thái điều tiết tối đa và tiêu cự của mắt nhỏ nhất (fMIN)
B. BÀI TOÁN: (7 điểm)
Bài 1: (1,5đ).

Bài 2: (1,5đ)
a) n1sin i = n2sinr (0,25đ)
1. sin 500 = 1,65.sin r
r = 27,660 (0,25đ)
D = i – r = 50 – 27,66 = 22,340 (0,25đ)
(0,25đ)
igh = 37,310 (0,25đ)
i > igh → không có tia khúc xạ. (0,25đ)
Bài 3: (2 điểm)

Bài 4: (2 điểm)
