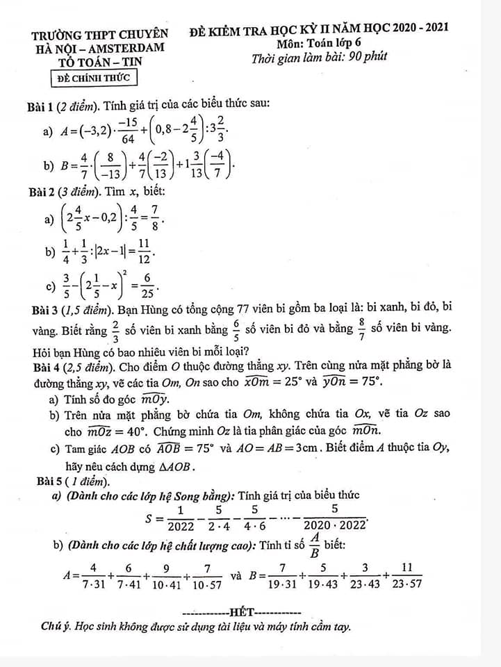
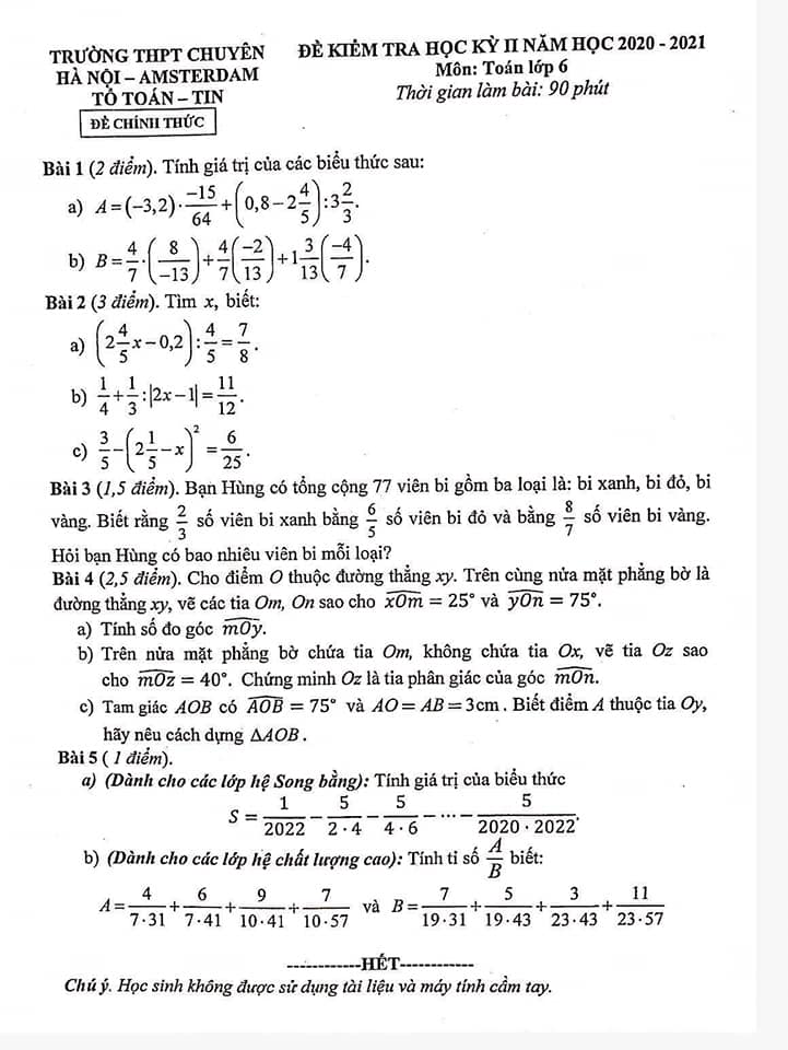
Đề thi học kì 2 Toán 6 trường Amsterdam năm 2021
Đề thi học kì 2 Toán 6 trường Amsterdam năm 2021 sẽ giúp các bạn chuẩn bị tốt cho kì thi cuối học kì 2 sắp tới nói chung và ôn thi kiểm tra cuối học kì 2 môn Toán lớp 6 nói riêng. Đồng thời đây cũng là tài liệu cho các thầy cô khi ra đề thi học kì 2 cho các em học sinh. Mời các em học sinh cùng các thầy cô tham khảo chi tiết.
Đề thi Toán lớp 6 học kì 2
Đề thi học kì 2 lớp 6 môn Toán

Đề thi học kì 2 lớp 6 môn Toán năm 2021
- Đề thi học kì 2 lớp 6 môn Toán năm 2020 - 2021
- Đề thi học kì 2 lớp 6 môn Toán năm 2020 - 2021 - Đề 1
- Đề thi Toán lớp 6 học kì 2 năm 2021 Có đáp án
Đề thi, đề ôn tập học kì 2 lớp 6 môn Toán
- Đề thi học kì 2 lớp 6 môn Toán năm 2020 - 2021
- Đề cương ôn tập Toán 6 học kì 2 năm 2020 - 2021
- Ma trận đề thi học kì 2 lớp 6 môn Toán năm 2020 - 2021
- Bộ đề ôn thi học kì 2 môn Toán lớp 6
- Đề ôn thi học kì 2 môn Toán lớp 6 - Đề 1
- Đề ôn thi học kì 2 môn Toán lớp 6 - Đề 2
- Đề ôn thi học kì 2 môn Toán lớp 6 - Đề 3
- Đề ôn thi học kì 2 môn Toán lớp 6 - Đề 4
- Đề ôn thi học kì 2 môn Toán lớp 6 - Đề 5
Ngoài Đề thi học kì 2 môn Toán năm học 2020 - 2021 mới nhất trên, các em học sinh tham khảo các bài giải SGK môn Toán lớp 6, Môn Ngữ văn 6, Môn Vật lý 6, môn Sinh Học 6, môn Địa lý lớp 6, môn Lịch sử lớp 6....và các đề thi học kì 2 lớp 6 để chuẩn bị cho các bài thi đề thi học kì 2 đạt kết quả cao.