Đề thi học kì 2 Toán 9 năm học 2024 - Đề 2
Đề thi học kì 2 lớp 9 môn Toán có đáp án - Đề số 2 được biên soạn và đăng tải. Nội dung đề thi gồm có 6 câu hỏi tự luận, đề thi gồm 01 trang. Với tổng thời gian học sinh làm bài thi là 90 phút, sẽ giúp ích cho các bạn học sinh ôn tập thử sức với các đề thi khác nhau. Sau đây là nội dung đề thi học kì 2 Toán 9, mời các bạn tham khảo.
Đề kiểm tra học kì 2 Toán 9 năm 2024
1. Đề thi Toán học kì 2 lớp 9 - Đề số 2
Bài 1 (2,0 điểm): Giải các phương trình và hệ phương trình sau:
| 1) |
2) |
Bài 2 (1,0 điểm): Vẽ đồ thị hàm số
\(y = 2{x^2}\)
Bài 3 (2,0 điểm): Trong mặt phẳng tọa độ Oxy, cho parabol (P) có phương trình
\(y = 2{x^2}\) và đường thẳng (d) có phương trình
\(y = 2x + m\) (m là tham số)
1) Tìm m để đường thẳng (d) đi qua điểm M(-2; 3).
2) Tìm điều kiện của m để parabol (P) cắt đường thẳng (d) tại hai điểm phân biệt có hoành độ
\({x_1};\,\,\,{x_2}\) thỏa mãn
\({\left( {1 - {x_1}{x_2}} \right)^2} + 2\left( {{y_1} + {y_2}} \right) = 16\).
Bài 4 (1,0 điểm): Giải bài toán bằng cách lập phương trình bậc 2:
Tìm hai cạnh của một tam giác biết cạnh huyền bằng 13cm và tổng hai cạnh góc vuông bằng 17cm.
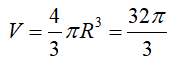
Bài 5 (1,0 điểm): Tính thể tích hình cầu có diện tích bằng
\(16\pi\) (cm2).
Bài 6 (3,0 điểm): Cho đường tròn (O), đường kính AB. Điểm H nằm giữa hai điểm A và O sao cho AH < OH. Kẻ dây cung MN vuông góc với AB tại H. Gọi C là điểm tùy ý thuộc cung lớn MN sao cho C không trùng với M, N và B. Gọi K là giao điểm của AC và MN.
1) Chứng minh tứ giác BCKH nội tiếp.
2) Chứng minh tam giác AMK đồng dạng với tam giác ACM.
3) Cho độ dài đoạn thẳng AH = a. Tính AK.AC – HA.HB theo a.
2. Đề thi Toán học kì 2 lớp 9 - Đề số 2
Bài 1:
1) S = {-5; 4}
2) (x; y) = (3; 2) = (3; -2)
Bài 2:

Bài 3:
1) m = 7
2) m = 2
Bài 4:
Hai cạnh của tam giác lần lượt là 5cm và 12cm
Bài 5:

Bài 6:


-----------------
Ngoài Đề thi học kì 2 Toán 9 năm 2024 trên đây, mời các bạn học sinh tham khảo thêm các đề thi học kì 2 lớp 9 các môn Toán, Văn, Anh, Lý, Hóa, ... và các đề thi tuyển sinh vào lớp 10 môn Toán mà chúng tôi đã sưu tầm và chọn lọc. Với bài tập về chuyên đề này giúp các bạn rèn luyện thêm kỹ năng giải đề và làm bài tốt hơn. Chúc các bạn học tốt!