Đề thi học kì II môn Toán lớp 12 năm 2012 - THPT chuyên Hà Nội Amsterdam
| TRƯỜNG THPT CHUYÊN HÀ NỘI – AMSTERDAM TỔ TOÁN – TIN |
ĐỀ THI HỌC KỲ 2 MÔN TOÁN LỚP 12 NĂM HỌC 2011 – 2012 Thời gian làm bài: 120 phút |
Bài 1: (2,5 điểm)
Cho hàm số: y = x3 + 3x2 - 4 (C).
a) Khảo sát sự biến thiên và vẽ đồ thị (C) của hàm số.
b) Tìm tọa độ các cặp điểm nằm trên đồ thị (C) của hàm số biết rằng chúng đối xứng nhau qua gốc tọa độ.
Bài 2: (2,5 điểm)
a) Tính tích phân: 
b) Tính diện tích hình phẳng giới hạn bởi hai đường thẳng (d1): x + y = 0; (d2): y = 8 và đường cong (C): y = x3.
Bài 3: (3 điểm)
Trong mặt phẳng tọa độ Oxyz cho hai đường thẳng 
a) Chứng minh rằng (d1), (d2) chéo nhau và vuông góc với nhau.
b) Viết phương trình mặt phẳng (P) chứa (d1) và song song với (d2).
c) Viết phương trình mặt cầu (S ) có đường kính là đoạn vuông góc chung của (d1) và (d2)
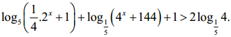
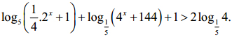
Bài 4: (2 điểm)
a) Giải bất phương trình: 
b) Tìm số phức z biết rằng z thỏa mãn điều kiện 