Đề thi học kỳ I lớp 11 THPT chuyên Thái Nguyên năm 2012 - 2013 môn Hóa học (Có đáp án)
TRƯỜNG THPT CHUYÊN
|
KỲ THI CHẤT LƯỢNG HỌC KỲ I NĂM HỌC 2012 - 2013
|
Câu 1 (2 điểm):
Viết công thức cấu tạo của các hợp chất dị vòng sau đây:
a) 2-Metyl-5-phenylthiophen.
b) Axit 3-etylpirol-2-cacboxylic.
c) 2,6-Đi-tert-butylpiriđin.
d) Etyl piriđin-3-cacboxylat.
Câu 2 (3 điểm):
Cho các chất: anabazin; nicotin; nicotirin.

a) Viết phương trình phản ứng xảy ra khi cho mỗi chất trên tác dụng với HCl theo tỷ lệ mol 1 : 1.
b) Sắp xếp các chất theo chiều tăng dần tính bazơ.
c) Oxi hóa nicotin bằng K2Cr2O7 trong dung dịch H2SO4 thu được axit nicotinic.Viết công thức cấu tạo của axit nicotinic và so sánh nhiệt độ nóng chảy của nó với axit benzoic. Giải thích.
Câu 3 (3 điểm):
Cho furfuran (hay là furan-2-cacbanđehit) vào các hoá chất sau:
a) CH3COCH3, có mặt dung dịch NaOH loãng;
b) (CH3CO)2O có mặt CH3COONa, rồi đun với dung dịch axit;
c) C6H5NHNH2 trong etanol đun nóng.
d) Dung dịch KOH.
Viết các sơ đồ phản ứng.
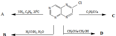
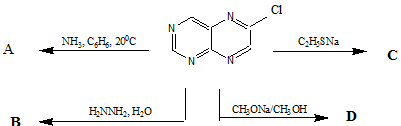
Câu 4. (2 điểm):
Viết các phương trình phản ứng thực hiện sơ đồ sau:
