Đề thi học kỳ I lớp 11 THPT chuyên Thái Nguyên năm 2012 - 2013 môn Toán
Để giúp các em chuẩn bị cho kỳ thi hết học kỳ I đạt kết quả tốt nhất, sau đây chúng tôi sẽ giới thiệu với các em bộ 3 đề thi học kỳ I lớp 11 THPT chuyên Thái Nguyên năm 2012 - 2013 môn Toán theo chương trình chuẩn, chuyên và nâng cao.
Đề thi học kỳ 1 lớp 11 môn Toán
TRƯỜNG THPT CHUYÊN
|
KỲ THI CHẤT LƯỢNG HỌC KỲ I NĂM HỌC 2012 - 2013
|
Câu 1: (3 điểm)
Giải các phương trình lượng giác sau:
a. √3cosx + sinx = -2.
b. 4sin2x - 3sinxcosx - cos2x = 0.
c. (sinx - 1)(2cos22x + 3sin2x - 2) = 0.
Câu 2: (2 điểm)
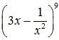
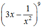
Tìm số hạng không chứa x trong khai triển 
Câu 3: (2 điểm)
Từ một bộ bài tú lơ khơ có 52 con, rút ngẫu nhiên cùng một lúc ba con. Tính xác xuất sao cho:
a. Cả ba con đều là con K;
b. Được hai con K và một con không phải là K.
Câu 4: (3 điểm)
Cho hình chóp S.ABCD có đáy ABCD là hình bình hành. Gọi M, N, P lần lượt là trung điểm của các cạnh SB, SD và BC.
a. Chứng minh rằng MN song song với BD;
b. Xác định giao tuyến của hai mặt phẳng (MNP) và (ABCD). Xác định thiết diện của hình chóp S.ABCD cắt bởi mặt phẳng (MNP)