Giao diện mới của VnDoc Pro: Dễ sử dụng hơn - chỉ tập trung vào lớp bạn quan tâm. Vui lòng chọn lớp mà bạn quan tâm: Lưu và trải nghiệm
Đóng
Điểm danh hàng ngày
  • Hôm nay +3
  • Ngày 2 +3
  • Ngày 3 +3
  • Ngày 4 +3
  • Ngày 5 +3
  • Ngày 6 +3
  • Ngày 7 +5
Bạn đã điểm danh Hôm nay và nhận 3 điểm!
Nhắn tin Zalo VNDOC để nhận tư vấn mua gói Thành viên hoặc tải tài liệu Hotline hỗ trợ: 0936 120 169

Đề thi học kỳ I lớp 12 THPT chuyên Thái Nguyên năm 2012 - 2013

Lớp: Lớp 12
Dạng tài liệu: Đề thi
Loại File: PDF
Phân loại: Tài liệu Tính phí

Đây là mẫu Đề thi học kỳ I lớp 12 THPT chuyên Thái Nguyên năm 2012 - 2013 môn Ngữ văn - có đáp án dành cho các bạn học sinh tham khảo để chuẩn bị cho kỳ thi của mình, hi vọng sẽ giúp các em có thêm kiến thức để ôn tập hơn.

Đề thi học kỳ 1 lớp 12 môn Toán

TRƯỜNG THPT CHUYÊN
THÁI NGUYÊN

Đề thi chính thức

KỲ THI CHẤT LƯỢNG HỌC KỲ I NĂM HỌC 2012 - 2013
Môn thi: TOÁN – Lớp 12

Thời gian làm bài: 120 phút

I . Phần chung cho tất cả các thí sinh (7,0 điểm)

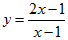
Câu 1. (3,0 điểm) Cho hàm số

1) Khảo sát sự biến thiên và vẽ đồ thị (C) của hàm số đã cho.

2) Viết phương trình tiếp tuyến của đồ thị (C) tại các điểm có hoành độ là nghiệm của phương trình

Câu 2. (2,0 điểm)

1) Tìm giá trị lớn nhất, giá trị nhỏ nhất của hàm số f(x) = x + 3 - ln(1 + x2) trên đoạn [0; 3]

2) Xác định giá trị của tham số m để hàm số y = x3 - mx2 + (2m + 1)x - m - 2 đạt cực trị tại x = -1, đó là điểm cực đại hay cực tiểu.

Câu 3 (2,0 điểm)

Cho hình chóp S.ABCD, có đáy là hình vuông cạnh bằng a, gọi H là trung điểm của cạnh AD, biết SH vuông góc với mặt phẳng đáy, góc giữa SB và mặt phẳng đáy bằng 60o.

1) Tính thể tích khối chóp S.ABCD.

2) Tính bán kính mặt cầu ngoại tiếp hình chóp S.HDC

II. Phần Riêng – phần tự chọn (3,0 điểm)

Thí sinh chỉ được làm một trong hai phần ( phần 1 hoặc phần 2)

1. Theo chương trình Chuẩn

Câu 4.a (2,0 điểm ) .

1) Cho hàm số g(x) = x.2x. Tính giá trị của biểu thức P = g'(2) - 2g''(2) + 3g(2).

2) Giải phương trình

Câu 5.a (1,0 điểm)

Giải phương trình:

2. Theo chương trình Nâng cao

Câu 4.b (2,0 điểm)

1) Cho hàm số g(x) = x.ex^2. Tính giá trị của biểu thức P = g'(2) - 2g''(2) + 3g(2)

2) Giải phương trình

Câu 5.b (1,0 điểm) Tim m để phương trình sau có nghiệm m.9x - 2.3x - m - 2 = 0

Chọn file muốn tải về:
Đóng Chỉ thành viên VnDoc PRO/PROPLUS tải được nội dung này!
Đóng
79.000 / tháng
Đặc quyền các gói Thành viên
PRO
Phổ biến nhất
PRO+
Tải tài liệu Cao cấp 1 Lớp
30 lượt tải tài liệu
Xem nội dung bài viết
Trải nghiệm Không quảng cáo
Làm bài trắc nghiệm không giới hạn
Mua cả năm Tiết kiệm tới 48%
1

Có thể bạn quan tâm

Xác thực tài khoản!

Theo Nghị định 147/2024/ND-CP, bạn cần xác thực tài khoản trước khi sử dụng tính năng này. Chúng tôi sẽ gửi mã xác thực qua SMS hoặc Zalo tới số điện thoại mà bạn nhập dưới đây:

Số điện thoại chưa đúng định dạng!
Số điện thoại này đã được xác thực!
Bạn có thể dùng Sđt này đăng nhập tại đây!
Lỗi gửi SMS, liên hệ Admin
Sắp xếp theo
🖼️

Đề thi học kì 1 lớp 12

Xem thêm
🖼️

Gợi ý cho bạn

Xem thêm