Đề thi học sinh giỏi cấp cơ sở tỉnh Điện Biên năm 2010 môn Toán lớp 12 - Có đáp án
Để chuẩn bị cho kỳ thi chọn học sinh giỏi, Vndoc.com xin giới thiệu đến các bạn: Đề thi học sinh giỏi cấp cơ sở tỉnh Điện Biên năm 2010 môn Toán lớp 12 - Có đáp án.
Đề thi học sinh giỏi môn Toán:
SỞ GIÁO DỤC VÀ ĐÀO TẠO
|
KỲ THI CHỌN HỌC SINH GIỎI CẤP CƠ SỞ
|
MÔN THI: TOÁN
Thời gian làm bài: 180 phút (không kể thời gian giao đề)
--------------------------------------------------------------------------------
Câu 1: (6 điểm)
1. Cho phương trình: 21+2sinx - 3.21+sinx = m - 4 (1) (m là tham số).
a) Giải phương trình (1) với m = 0.
b) Tìm m để phương trình (1) có nghiệm.
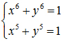
2. Giải hệ phương trình: 
Câu 2: (5 điểm)
1. Tìm GTLN của hàm số: y = |-x3 + 3x2 + 72x - 90| trên đoạn [-7; 7].
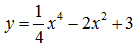
2. Cho hàm số
có đồ thị là (C). Tính diện tích tam giác có các đỉnh là các điểm cực trị của đồ thị (C).
Câu 3: (6 điểm)
1. Trong mặt phẳng tọa độ Oxy. Chứng minh rằng với mọi giá trị của t đường thẳng (d) có phương trình: xcost + ysint + sint - 2cost - 3 = 0 (t là tham số) luôn tiếp xúc với một đường tròn cố định.
2. Cho lăng trụ đứng ABC.A1B1C1 có AB = a, AC = 2a, AA1 = 2a√5 và góc BAC = 120o. Gọi M là trung điểm của CC1. Chứng minh MB vuông góc MA1 và tính khoảng cách từ A đến mặt phẳng (A1BM).
Câu 4: (1.5 điểm)
Cho đa thức f(x) = xn + an-1xn-1 + an-2xn-2 + L + a1x + 1 có các hệ số không âm và có n nghiệm thực. Chứng minh f(2) ≥ 3n.
Câu 5: (1.5 điểm)
Cho hàm số: y = x3 - 2009x có đồ thị là (C). M1 là điểm trên (C) có hoành độ x1 = 1. Tiếp tuyến của (C) tại M1 cắt (C) tại điểm M2 khác M1, tiếp tuyến của (C) tại M2 cắt (C) tại điểm M3 khác M2, tiếp tuyến của (C) tại điểm Mn-1cắt (C) tại điểm Mn khác Mn-1 (n = 4; 5;…), gọi (x; y) là tọa độ điểm Mn.
Tìm n để: 2009xn + yn + 22013 = 0