Đề thi học sinh giỏi Giải toán trên Máy tính cầm tay cấp tỉnh Gia Lai môn Toán THCS (2010 - 2011)
SỞ GIÁO DỤC VÀ ĐÀO TẠO
|
KỲ THI CHỌN HỌC SINH GIỎI CẤP TỈNH
|
Bài 1: (5 điểm)
a) Tính giá trị biểu thức viết dưới dạng phân số
b) Cho biết tgx = tg340.tg350.tg360.... tg540.tg550 (0 < x <900)![]()
Bài 2: (5 điểm)
Tính giá trị biểu thức (ghi kết quả dưới dạng hỗn số)
a. ![]()
b) Cho số thực
. Viết số y đã cho dưới dạng phân số và số thập phân với 10 chữ số ở phần thập phân.
Bài 3: (5 điểm)

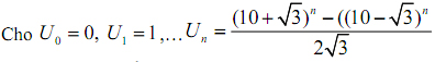
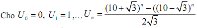
a) Tìm công thức truy hồi tính Un+2 theo Un và Un+1
b) Viết qui trình bấm phím liên tục tính Un+2 theo Un, Un+1
c) Tính chính xác U8, U9, U10, U11
Bài 4: (5 điểm)
a) Cho đa thức f(x) có bậc bốn, hệ số bậc cao nhất là 1 và thỏa mãn f(1) = 3; f(3) = 11; f(5) = 27. Tính A = 7f(6) – f(-2)
b) Tính tổng các ước số lẻ của số 804257792
Bài 5: (5 điểm)
Tìm hai số tự nhiên m và n có ƯCLN (m; n) = 2011 và BCNN (m; n) = 183001.
Bài 6: (5 điểm)
a) Tìm phần dư R(x) khi chia đa thức x2010 - 6x11 + 212 cho 2012x2 - 2011
b) Cho số D = 20122010.
b1. Tìm năm chữ số cuối cùng của số D.
b2. Tìm bảy chữ số đầu tiên của số D.
Bài 7: (5 điểm)
Cho hình chóp tứ giác đều S.ABCD có cạnh là a. Biết trung đoạn SM = d = 5,473 (cm). Góc tạo bởi cạnh bên và đáy là SBD = 410. Tính thể tích hình chóp.

Bài 8: (5 điểm)
Cho tam giác ABC vuông cân tại A. Lấy D trên AB, E trên AC sao cho AD = CE. Gọi I là trung điểm của DE, K là điểm đối xứng với A qua I.
a) Chứng minh điểm K thuộc BC.
b) Cho AB = a, đặt AD = x. Tính diện tích tứ giác ADKE theo a và x, tìm vị trí của D trên AB để diện tích tứ giác ADKE lớn nhất. Tính diện tích lớn nhất đó khi a = 1211,2010 cm
Bài 10: (5 điểm)
a) Vẽ đồ thị các hàm số
trên cùng mặt phẳng tọa độ Oxy.
b) Đường thẳng (d1) cắt đường thẳng (d2) tại điểm B, đường thẳng (d1) cắt đường thẳng (d3) tại điểm A, đường thẳng (d2) cắt đường thẳng (d3) tại điểm C. Tìm tọa độ các điểm A,B,C và tính diện tích tam giác ABC.
c) Tìm phương trình đường thẳng chứa đường phân giác góc ABC (với hệ số góc, tung độ gốc làm tròn hai chữ số thập phân).