Đề thi học sinh giỏi Giải toán trên Máy tính cầm tay cấp tỉnh Hậu Giang môn Toán lớp 12 hệ bổ túc (2010 - 2011)
Nhằm giúp các bạn chuẩn bị thật tốt kiến thức để làm bài thi đạt hiệu quả cao, Vndoc.com xin giới thiệu: Đề thi học sinh giỏi Giải toán trên Máy tính cầm tay cấp tỉnh Hậu Giang môn Toán lớp 12 hệ bổ túc (2010 - 2011).
Đề thi học sinh giỏi môn Toán:
SỞ GIÁO DỤC VÀ ĐÀO TẠO
|
KỲ THI CHỌN HỌC SINH GIỎI CẤP TỈNH
|
Bài 1:
Tính giá trị của biểu thức: A = x3 - 3xy2 – 2x2y - 2/3y3 tại ![]()
Bài 2:
Tính gần đúng giá trị lớn nhất, nhỏ nhất của hàm số
trên đoạn 
Bài 3:
Tính gần đúng khoảng cách giữa hai điểm cực đại và điểm cực tiểu của đồ thị hàm số f(x) = x3 – 5x2 + 2x + 1.
Bài 4:
Tính gần đúng toạ độ các giao điểm M, N của đường tròn x2 + y2 - 8x + 6y = 21 và đường thẳng đi qua hai điểm A(4; -5), B(-5; 2)
Bài 5:
Tính giá trị gần đúng của a và b nếu y = ax + b là tiếp tuyến của đồ thị hàm số
tại điểm có hoành độ![]()
Bài 6:
Cho A = BCNN(209865; 283935) Tính chính xác A2
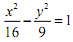
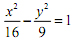
Bài 7: Tính gần đúng giá trị của a và b nếu đường thẳng y = ax + b đi qua điểm M(5; 4) M và là tiếp tuyến của hypebol ![]()
Bài 8:
Hình chóp S.ABCD có đáy ABCD là hình chữ nhật với các cạnh AB = 9cm,
, chân đường cao là giao điểm H của hai đường chéo đáy, cạnh bên SA = 7cm. Tính gần đúng đường cao SH và thể tích hình chóp.
Bài 9:
Tìm hệ số của số hạng chứa x28 trong khai triển nhị thức Niu-tơn của ![]()
Bài 10.
Tính gần đúng nghiệm của hệ phương trình: ![]()