Đề thi học sinh giỏi giải toán trên máy tính cầm tay năm học 2010 - 2011 môn Toán khối 10
SỞ GIÁO DỤC VÀ ĐÀO TẠO
|
KỲ THI CHỌN HSG GIẢI TOÁN TRÊN MÁY TÍNH CẦM TAY
|
Bài 1:
Tính gần đúng giá trị hai số thực a, b biết:
Bài 2:
Tính gần đúng các nghiệm của phương trình: ![]()
Bài 3:
Trong mặt phẳng tọa độ Oxy. Tính gần đúng diện tích hình tròn ngoại tiếp tam giác ABC có tọa độ các đỉnh A(1,3), B(4,-2), C(5,7)
Bài 4:
Tính giá trị gần đúng của a và b để phương trình sau có nghiệm đúng với mọi x thực.![]()
Bài 5:
Cho tam giác ABC có AB = 6 cm, góc A bằng 103031'28'', góc C bằng 35040'26''. Tính gần đúng giá trị diện tích tam giác ABC và đường cao AH.
Bài 6:
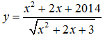
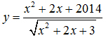
Tính gần đúng giá trị nhỏ nhất của hàm số:
Bài 7:
Tìm nghiệm dương gần đúng của phương trình: x20 + x - 10 = 0
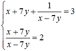
Bài 8:
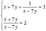
Tính gần đúng các nghiệm của hệ phương trình:
Bài 9:
Trên các cạnh AB, BC, CA của một tam giác ABC có diện tích
người ta chọn lần lượt các điểm M, N, P thoả mãn điều kiện: ![]()
Tính gần đúng diện tích của tam giác MNP
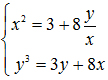
Bài 10:
Tính gần đúng nghiệm của hệ phương trình: