Đề thi học sinh giỏi giải toán trên máy tính cầm tay năm học 2010 - 2011 môn Toán khối 10 hệ GDTX
SỞ GIÁO DỤC VÀ ĐÀO TẠO
|
KỲ THI CHỌN HSG GIẢI TOÁN TRÊN MÁY TÍNH CẦM TAY
|
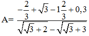
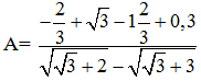
Bài 1:
Tính gần đúng giá trị của biểu thức:
Bài 2:
Tính gần đúng các nghiệm của phương trình:![]()
Bài 3:
Cho hàm số ![]()
Tính gần đúng giá trị hàm số tại ![]()
Bài 4:
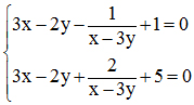
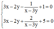
Tìm gần đúng nghiệm hệ phương trình:
Bài 5:
Một người đi xe đạp từ A đến B dài 101 km.Do có việc gấp người ấy tăng vận tốc thêm 2,3 km/h so với vận tốc dự định nên đến B sớm hơn 1giờ. Tính gần đúng vận tốc dự định của người ấy
Bài 6:
Tính gần đúng giá trị x, biết:
Bài 7:
Cho parabol (P): y = ax2 + bx + c. Tính gần đúng giá trị a, b và c biết (P) qua A(-1;2); ![]()
Bài 8:
Tìm gần đúng tọa độ giao điểm của parapol (P1): y = x2 - 4x - 5/2 và parapol (P2): y = -2x2 - x - 3/2
Bài 9:
Cho hình thang ABCD có 2 đường chéo vuông góc nhau. Hai cạnh đáy AB = 3,56cm, DC = 8,33cm, cạnh bên AD = 5,19cm . Tính gần đúng độ dài cạnh bên BC
Bài 10:
Cho tam giác vuông có độ dài 2 cạnh góc vuông b = 10/3 cm; c = 5,1234cm.
Tính gần đúng độ dài đường cao ha ứng với cạnh huyền
Tính gần đúng diện tích hình tròn ngoại tiếp tam giác đã cho.