Đề thi học sinh giỏi giải toán trên máy tính cầm tay năm học 2010 - 2011 môn Toán khối 11
SỞ GIÁO DỤC VÀ ĐÀO TẠO
|
KỲ THI CHỌN HSG GIẢI TOÁN TRÊN MÁY TÍNH CẦM TAY
|
Bài 1:
Cho
. Tính gần đúng ![]()
Bài 2:
Các đường trung tuyến của tam giác ABC là AM = 5cm, BE = 4cm, CF = 3cm. Tính gần đúng tổng các bình phương độ dài ba cạnh tam giác ABC.
Bài 3:
Tính gần đúng giá trị lớn nhất của:![]()
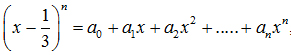
Bài 4:
Cho khai triển
, biết a2 bằng 5.
Tính giá trị gần đúng hệ số của số hạng đứng giữa của khai triển trên.
Bài 5:
Cho: x1005 + y1005 = 1,1245 và x2010 + y2010 = 2,469.
Hãy tính gần đúng giá trị biểu thức: P = x3015 + y3015
Bài 6:
Trong mặt phẳng Oxy cho
. Gọi M1 là ảnh của M qua
, M2 là ảnh đối xứng của M1 qua trục Ox. Xác định tọa độ gần đúng của điểm M2
Bài 7:
Tính tổng gần đúng của 
Bài 8:
Một hộp đựng 3 viên bi đỏ và 4 viên bi xanh. Chọn ngẫu nhiên 3 viên bi. Tính gần đúng xác suất để chọn được hơn một viên bi đỏ.
Bài 9:
Trên các cạnh AB, BC, CA của một tam giác ABC có diện tích
người ta chọn lần lượt các điểm M, N, P thoả mãn điều kiện: ![]()
Tính gần đúng diện tích của tam giác MNP
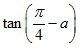
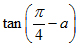
Bài 10:
Tính gần đúng nghiệm dương nhỏ nhất (theo độ, phút, giây) của phương trình:![]()