Đề thi học sinh giỏi giải toán trên máy tính cầm tay năm học 2010 - 2011 môn Toán khối 11 Hệ GDTX
SỞ GIÁO DỤC VÀ ĐÀO TẠO
|
KỲ THI CHỌN HSG GIẢI TOÁN TRÊN MÁY TÍNH CẦM TAY
|
Bài 1.
Tính gần đúng giá trị của biểu thức:![]()
Bài 2.
Tính gần đúng giá trị a,b,c,d nếu đồ thi hàm số y = ax3 + bx2 + cx + d đi qua bốn điểm A(1; -3); B(-2; 4); C(-1; 5); D(2; 3)
Bài 3.
Tím gần đúng tất cả các nghiệm (bằng độ, phút, giây) của phương trình:![]()
Bài 4.
Tính gần đúng giá trị biểu thức A = 1 + 2cosa + 3cos2a + 4cos3a, nếu a là góc nhọn mà sina + cosa = 6/5
Bài 5.
Tính gần đúng toạ độ giao điểm của 2 đường tròn, (C1): x2 + y2 = 4 và (C2): x2 + y2 - 2x - 6y - 6 = 0
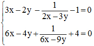
Bài 6.
Tính gần đúng nghiệm của hệ phương trình:
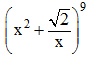
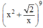
Bài 7.
Tính gần đúng hệ số của số hạng chứa x trong khai triển 
Bài 8.
Người ta chọn ngẫu nhiên 3 viên bi từ một túi chứa 4 bi đỏ, 5 bi xanh và 3 bi trắng. Tính gần đúng xác suất để 3 bi được chọn hoàn toàn khác màu.
Bài 9.
Cho tam giác ABC biết AB = 5dm;AC = 4dm; góc A = 46o34’25’’. Tính gần đúng diện tích đường tròn ngoại tiếp tam giác.
Bài 10.
Cho tứ giác ABCD biết tọa độ đỉnh A(-1; 2); B(3; -4); C(3; 2); D(1; 5). Tính gần đúng chu vi của tứ giác ABCD