Đề thi học sinh giỏi giải toán trên máy tính cầm tay năm học 2010 - 2011 môn Toán khối 12 Hệ GDTX
SỞ GIÁO DỤC VÀ ĐÀO TẠO
|
KỲ THI CHỌN HSG GIẢI TOÁN TRÊN MÁY TÍNH CẦM TAY
|
Bài 1.
Tính gần đúng nghiệm của phương trình:![]()
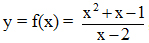
Bài 2.
Tính gần đúng giá trị cực tiểu của hàm số:![]()
Bài 3.
Gọi a là hệ số góc của tiếp tuyến của đồ thị hàm số
, tại điểm có hoành độ bằng 1,26. Tính gần đúng giá trị a.
Bài 4.
Tính gần đúng giá trị lớn nhất M và giá trị nhỏ nhất m của hàm số:
, trên đoạn [1,2; 6,5]
Bài 5.
Tính gần đúng nghiệm của phương trình:![]()
Bài 6.
Cho cosx = 0,8157, (270o < x < 360o). Tính x theo độ, phút, giây rồi suy ra giá trị gần đúng của sin3x.
Bài 7.
Tính gần đúng giá trị p và q nếu parabol
đi qua hai giao điểm của đường thẳng d và đường tròn (C), với:
(d): 2x –y – 3 = 0
(C): x2 + y2 – 4x + 5y – 6 = 0
Bài 8:
Tính gần đúng thể tích khối chóp SABCD, đáy ABCD là hình chữ nhật và SA vuông góc mặt đáy với
![]()
Bài 9:
Tính gần đúng các nghiệm của hệ phương trình
Bài 10.
Cho tứ diện ABCD có đáy là BCD vuông cân tại B, AB vuông góc mặt đáy. Tính gần đúng diện tích xung quanh của khối nón tròn xoay đỉnh A được sinh ra khi tam giác vuông ABC quay quanh trục AB, biết: CD = 3,2cm, AB = 2cm.