Đề thi học sinh giỏi giải toán trên máy tính cầm tay năm học 2010 - 2011 môn Toán khối 7
SỞ GIÁO DỤC VÀ ĐÀO TẠO
|
KỲ THI CHỌN HSG GIẢI TOÁN TRÊN MÁY TÍNH CẦM TAY
|
Bài 1:
Tính:
Bài 2:
Cho a = 10734 ; b = 12523; c = 16101. Tìm ƯCLN(a, b, c).
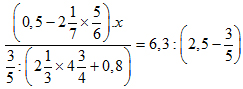
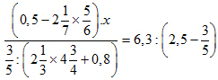
Bài 3:
Tìm x biết:
Bài 4:
Cho tam giác ABC có
. Tính số đo các góc của tam giác ABC.
Bài 5:
Tìm x, y biết:
Bài 6:
Tính chu vi khu vườn hình chữ nhật, biết chiều rộng bằng 7/13 chiều dài và chiều dài hơn chiều rộng là 193,69mm.
Bài 7:
Biết tỉ số của 7x – 5 và y + 13 là một hằng số và khi x= 2 thì y = 20. Hỏi khi y = 2005 thì x bằng bao nhiêu
Bài 8:
Số đo ba góc A, B, C của tam giác ABC lần lượt tỉ lệ với 6; 9; 11. CH vuông góc với AB (H thuộc AB). Tính số đo góc ACH (làm tròn đến phút).
Bài 9:
Biết: 2x + 3y - 4z = 21054 và ![]()
Tính: A = x + 2y - 3z
Bài 10:
Tìm tất cả các số nguyên n sao cho số 28 + 211 + 2n là số chính phương.