Đề thi học sinh giỏi giải toán trên máy tính cầm tay năm học 2010 - 2011 môn Toán khối 8
SỞ GIÁO DỤC VÀ ĐÀO TẠO
|
KỲ THI CHỌN HSG GIẢI TOÁN TRÊN MÁY TÍNH CẦM TAY
|
Bài 1:
Thực hiện phép tính:
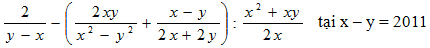
Bài 2:
Tính giá trị của biểu thức:![]()
Bài 3:
Tìm x, biết:
Bài 4:
Tìm dư trong phép chia số 21999 cho 35
Bài 5:
Cho x + y = 6,912 và x2 + y2 = 33,76244. Tính x3 + y3
Bài 6:
Cho đa thức P(x) = x4 - 3x2 + mx + n. Khi chia P(x) cho đa thức x – 2 có dư là 23 . Khi chia P(x) cho x – 3 có dư là 80. Tìm số dư khi chia P(x) cho x-15 .
Bài 7:
Cho hình thang cân ABCD (AB // CD) có AB = 15cm, CD = 25cm; DB là tia phân giác góc D. Tính gần đúng 68% diện tích hình thang ABCD.
Bài 8:
Cho hình thang ABCD (AB // CD). M, N lần lượt là trung điểm của AD và BC. MN cắt BD, AC theo thứ tự ở I và K. Tính độ dài IK biết AB = 10,26cm và CD = 22,4cm
Bài 9:
Tìm giá trị nhỏ nhất của biểu thức 156,25.x2 – 362,5.x + 125,5.
Bài 10:
Tính gần đúng độ dài các cạnh của một hình chữ nhật, biết các cạnh lần lượt tỉ lệ với 388; 765 và diện tích của nó bằng 742,05 cm2