Đề thi học sinh giỏi giải toán trên máy tính cầm tay năm học 2011 - 2012 môn Toán khối 10 hệ GDTX
SỞ GIÁO DỤC VÀ ĐÀO TẠO
|
KỲ THI CHỌN HSG GIẢI TOÁN TRÊN MÁY TÍNH CẦM TAY
|
Chú ý:
+ Tất cả các giá trị gần đúng lấy 5 chữ số thập phân không làm tròn.
+ Khi làm bài thí sinh phải ghi tóm tắt cách giải, hoặc có thể ghi bước tính toán cuối cùng để ra kết quả.
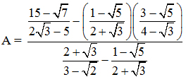
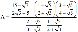
Bài 1:
Tính gần đúng giá trị của biểu thức:
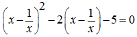
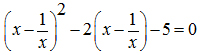
Bài 2:
Tính gần đúng các nghiệm của phương trình:
Bài 3:
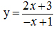
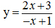
Cho hàm số ![]()
Tính gần đúng giá trị hàm số tại ![]()
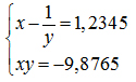
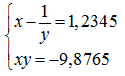
Bài 4:
Tìm gần đúng nghiệm hệ phương trình:
Bài 5:
Một ca nô xuôi dòng từ A đến B, rồi ngược dòng từ B về A mất 1giờ 45 phút. Biết khoảng cách AB là 72km và vận tốc nuớc chảy là 4km/giờ, tính gần đúng vận tốc thực của ca nô.
Bài 6:
Cho hình vuông có cạnh m=7,23 cm.Từ 4 đỉnh hình vuông kẻ 4 cung tròn có tâm là 4 đỉnh hình vuông, có bán kính bằng nữa cạnh hình vuông. Tính gần đúng diện tích phần xen giữa 4 cung tròn đó.

Bài 7:
Tìm gần đúng tọa độ giao điểm của đường thẳng
và đồ thị hàm số ![]()
Bài 8:
Cho hình thang cân ABCD có 2 đường chéo vuông góc nhau. Cạnh đáy AB = 3,5cm, cạnh bên AD = 5,2cm .Tính gần đúng diện tích hình thang đó.
Bài 9:
Cho tam giác vuông có độ dài 2 cạnh góc vuông b = 10/7cm; c = 3,3172cm. Tính gần đúng diện tích hình tròn ngoại tiếp tam giác đã cho.
Bài 10:
Tính gần đúng giá trị ![]()