Đề thi học sinh giỏi giải toán trên máy tính cầm tay năm học 2011 - 2012 môn Toán khối 11
SỞ GIÁO DỤC VÀ ĐÀO TẠO
|
KỲ THI CHỌN HSG GIẢI TOÁN TRÊN MÁY TÍNH CẦM TAY
|
Chú ý:
- Các giá trị phải tính ra số thập phân, lấy chính xác 5 chữ số thập phân không làm tròn;
- Thí sinh phải ghi tóm tắt cách giải hay công thức tính.
Bài 1.
Tính gần đúng nghiệm (độ, phút, giây) của phương trình: 4cos2x + 3cosx = -1
Bài 2.
Tính gần đúng giá trị lớn nhất và nhỏ nhất của hàm số: ![]()
Bài 3.
Trong mặt phẳng tọa độ Oxy, cho hai điểm P(0; 1/12), Q(1/13; 1) và đường thẳng Δ có phương trình X + Y = 0. Tìm điểm M trên Δ sao cho tổng MP + MQ nhỏ nhất.
Bài 4.
Tính tổng 
Biết: ![]()
Bài 5.
Cho tứ diện đều ABCD cạnh bằng
. Kéo dài BC về phía C một đoạn
, kéo dài BD về phía D một đoạn
. Gọi M là trung điểm của AB. Tính diện tích của thiết diện tạo bởi tứ diện với mặt phẳng (MEF).
Bài 6.
Tìm cặp số (x, y) nguyên dương với x nhỏ nhất thỏa phương trình:![]()
Bài 7.
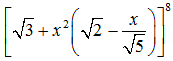
Tìm hệ số của số hạng chứa trong khai triển của biểu thức:
Bài 8.
Cho dãy số (un) thỏa mãn điều kiện sau:
Tính gần đúng giá trị tổng 20 số hạng đầu tiên của dãy số (un).
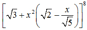
Bài 9.
Giải hệ phương trình:![]()
Bài 10.
Cho tứ giác ABCD nội tiếp trong đường tròn (O) bán kính R=4,20 cm, AB=7,69 cm, BC=6,94 cm, CD=3,85 cm. Tìm độ dài cạnh còn lại và tính diện tích của tứ giác ABCD.