Đề thi học sinh giỏi giải toán trên máy tính cầm tay năm học 2011 - 2012 môn Toán khối 11 Hệ GDTX
SỞ GIÁO DỤC VÀ ĐÀO TẠO
|
KỲ THI CHỌN HSG GIẢI TOÁN TRÊN MÁY TÍNH CẦM TAY
|
Chú ý:
+ Tất cả các giá trị gần đúng lấy 5 chữ số thập phân không làm tròn.
+ Khi làm bài thí sinh phải ghi tóm tắt cách giải, hoặc có thể ghi bước tính toán cuối cùng để ra kết quả.
Bài 1.
Tính gần đúng giá trị của biểu thức:![]()
Bài 2.
Tính gần đúng giá trị a,b,c nếu đường tròn x2 + y2 + ax + by + c = 0 đi qua ba điểm M(-3;4), N(-5;7), P(4;5)
Bài 3.
Tính gần đúng tất cả các nghiệm (bằng độ, phút, giây) của phương trình: 2cos2x + 5cosx = 1
Bài 4.
Tính gần đúng tất cả các nghiệm (bằng độ, phút, giây) của phương trình: 5sinx - 4cosx = ![]()
Bài 5.
Tính gần đúng toạ độ giao điểm M, N của đường tròn x2 + y2 + 10x - 5y = 30 và đường thẳng qua hai điểm A(-4; 6), B(5; -2)
Bài 6.
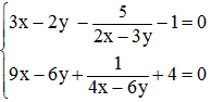
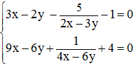
Tính gần đúng nghiệm của hệ phương trình:
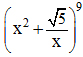
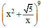
Bài 7.
Tính gần đúng hệ số của số hạng chứa x9 trong khai triển 
Bài 8.
Trong một lớp học có 21 học viên nam và 17 học viên nữ. Cần chọn 7 học viên đi tham gia chiến dịch mùa hè xanh của đoàn viên, trong đó có 4 học viên nam và 3 học viên nữ. Hỏi có tất cả bao nhiêu cách chọn?
Bài 9.
Cho tam giác ABC có các cạnh a = 22cm, b = 15cm, c = 20cm.
a/ Tính gần đúng góc C (độ, phút, giây)
b/ Tính gần đúng diện tích tam giác ABC.
Bài 10.
Tìm số dư trong phép chia 201236 cho 1975.