Đề thi học sinh giỏi giải toán trên máy tính cầm tay năm học 2011 - 2012 môn Toán khối 12
SỞ GIÁO DỤC VÀ ĐÀO TẠO
|
KỲ THI CHỌN HSG GIẢI TOÁN TRÊN MÁY TÍNH CẦM TAY
|
Chú ý:
- Các giá trị phải tính ra số thập phân, lấy chính xác 5 chữ số thập phân không làm tròn;
- Thí sinh phải ghi tóm tắt cách giải hay công thức tính.
Bài 1.
Tính gần đúng tọa độ giao điểm của đồ thị hàm số y = x3 - 3x2 - 5|x| + 1 và trục hoành.
Bài 2.
Cho hàm số
có đồ thị (C). Tính giá trị gần đúng của k và m để đường thẳng (d): y = kx + m tiếp xúc với đồ thị (C) tại điểm có hoành độ ![]()
Bài 3.
Cho phương trình x + log6(49 - 6x) = m (1)
a. Tìm các nghiệm gần đúng của phương trình khi 
b. Tìm giá trị nguyên lớn nhất của m để phương trình (1) có nghiệm.
Bài 4.
Giải hệ phương trình:
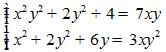
Bài 5.
Tính giá trị của biểu thức:
Bài 6.
Cho đa thức P(x) = x5 + ax4 + bx3 + cx2 + dx + e
Tính
, biết rằng P(1) = 0, P(2) = 2, P(3) = 8, P(4) = 18, P(5) = 32.
Bài 7.
Trong mặt phẳng (Oxy), cho
và đường thẳng (d): x - 2y - 2 = 0. Tìm điểm I thuộc đường thẳng (d) sao cho tam giác IAB và tam giác ICD có diện tích bằng nhau.
Bài 8.
Cho tứ diện ABCD có AB = 1cm, Ac = 2cm, AD = 5cm, và góc BAC = 2/3CAD = 1/2BAD = 400. Tính giá trị gần đúng thể tích của khối tứ diện ABCD.
Bài 9.
Cho hình chóp S.ABCD có đáy ABCD là hình chữ nhật,
, các cạnh bên của hình chóp bằng nhau và bằng
. Gọi M, N lần lượt là trung điểm các cạnh AB, CD và K là điểm trên cạnh AD sao cho
. Tính khoảng cách giữa hai đường thẳng MN và SK.
Bài 10.
Cho các số a, b, c đều lớn hơn 503. Tìm giá trị nhỏ nhất của biểu thức: