Giao diện mới của VnDoc Pro: Dễ sử dụng hơn - chỉ tập trung vào lớp bạn quan tâm. Vui lòng chọn lớp mà bạn quan tâm: Lưu và trải nghiệm
Đóng
Điểm danh hàng ngày
  • Hôm nay +3
  • Ngày 2 +3
  • Ngày 3 +3
  • Ngày 4 +3
  • Ngày 5 +3
  • Ngày 6 +3
  • Ngày 7 +5
Bạn đã điểm danh Hôm nay và nhận 3 điểm!
Nhắn tin Zalo VNDOC để nhận tư vấn mua gói Thành viên hoặc tải tài liệu Hotline hỗ trợ: 0936 120 169

Đề thi học sinh giỏi giải toán trên máy tính cầm tay năm học 2011 - 2012 môn Toán khối 12 Hệ GDTX

Loại File: Word
Phân loại: Tài liệu Tính phí

SỞ GIÁO DỤC VÀ ĐÀO TẠO
LONG AN

(Đề thi chính thức)

KỲ THI CHỌN HSG GIẢI TOÁN TRÊN MÁY TÍNH CẦM TAY
NĂM HỌC 2011 - 2012
MÔN: TOÁN - KHỐI 12 - GDTX

(Thời gian làm bài 90 phút không kể thời gian giao đề)
Ngày thi: 05/02/2012

Chú ý:

+ Tất cả các giá trị gần đúng lấy 5 chữ số thập phân không làm tròn.

+ Khi làm bài thí sinh phải ghi tóm tắt cách giải, hoặc có thể ghi bước tính toán cuối cùng để ra kết quả.

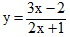
Bài 1.

Cho hàm số . Tính gần đúng: giá trị đạo hàm cấp một của hàm số đã cho tại x = 1 + và giá trị của hàm số tại x = –1 +

Bài 2.

Cho hàm số . Xác định a, b, c để đồ thị hàm số cắt trục hoành tại 3 điểm lần lượt có hoành độ là 2; –3; 4.

Bài 3.

Cho hàm số

a) Tính gần đúng giá trị cực đại và giá trị cực tiểu của hàm số.

b) Đường thẳng y = ax + b đi qua điểm cực đại và cực tiểu của đồ thị hàm số trên. Tính giá trị của a và b.

Bài 4.

Tính gần đúng nghiệm (độ, phút, giây) của phương trình: 2cos2x + 5sinx = 1

Bài 5.

Tính gần đúng nghiệm của hệ phương trình:


Bài 6.

Tính gần đúng nghiệm của phương trình:


Bài 7.

Tính gần đúng giá trị lớn nhất, giá trị nhỏ nhất của hàm số:

y = f(x) = x3 –3x2 –10x + 35, trên đoạn

Bài 8:

Cho hình lập phương ABCD.A’B’C’D’ cạnh . Tính gần đúng diện tích xung quanh và diện tích toàn phần của hình nón tròn xoay đỉnh C’ sinh ra khi quay tam giác vuông AA’C’ quanh trục C’A’.

Bài 9.

Tính gần đúng thể tích của khối tứ diện SABC biết SA=SB=SC= , đáy ABC là tam giác vuông tại B,
cm.

Bài 10.

Tiếp tuyến của đồ thị hàm số vuông góc với đường thẳng (d): 2x + 7y – 2012 = 0. Tính gần đúng tọa độ tiếp điểm của tiếp tuyến đã cho.

Chọn file muốn tải về:
Đóng Chỉ thành viên VnDoc PRO/PROPLUS tải được nội dung này!
Đóng
79.000 / tháng
Đặc quyền các gói Thành viên
PRO
Phổ biến nhất
PRO+
Tải tài liệu Cao cấp 1 Lớp
30 lượt tải tài liệu
Xem nội dung bài viết
Trải nghiệm Không quảng cáo
Làm bài trắc nghiệm không giới hạn
Mua cả năm Tiết kiệm tới 48%
Xác thực tài khoản!

Theo Nghị định 147/2024/ND-CP, bạn cần xác thực tài khoản trước khi sử dụng tính năng này. Chúng tôi sẽ gửi mã xác thực qua SMS hoặc Zalo tới số điện thoại mà bạn nhập dưới đây:

Số điện thoại chưa đúng định dạng!
Số điện thoại này đã được xác thực!
Bạn có thể dùng Sđt này đăng nhập tại đây!
Lỗi gửi SMS, liên hệ Admin
Sắp xếp theo
🖼️

Thư viện Học liệu

Xem thêm
🖼️

Gợi ý cho bạn

Xem thêm