Đề thi học sinh giỏi giải toán trên máy tính cầm tay năm học 2012 - 2013 môn Toán khối 11
SỞ GIÁO DỤC VÀ ĐÀO TẠO
|
KỲ THI CHỌN HSG GIẢI TOÁN TRÊN MÁY TÍNH CẦM TAY
|
Chú ý:
- Các giá trị phải tính ra số thập phân, lấy chính xác 5 chữ số thập phân không làm tròn.
- Thí sinh phải ghi tóm tắt cách giải hay công thức tính.
- Đề thi có 10 bài, mỗi bài 1 điểm.
Bài 1.
Tính gần đúng các nghiệm (radian) trên khoảng (0; π) của phương trình:
sin2x – 2sinx – cosx + 1 = 0.
Bài 2.
Cho các hàm số ![]()
Tính các giá trị gần đúng của a để ![]()
Bài 3.
Trong một lớp có 15 học sinh nam và 20 học sinh nữ, chọn ngẫu nhiên 10 học sinh. Tính gần đúng xác suất để 10 học sinh được chọn phải có ít nhất 2 học sinh nam và 2 học sinh nữ.
Bài 4.
Cho dãy số (un) có:

Tính giá trị gần đúng của S = u1 + u2 + u3 +...+ u15.
Bài 5.
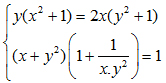
Tính gần đúng các nghiệm của hệ phương trình:
Bài 6.
Tính gần đúng các nghiệm của phương trình:![]()
Bài 7.
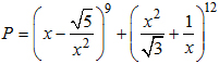
Gọi a là số hạng không chứa x trong khai triển của biểu thức: 
Tính gần đúng giá trị của a.
Bài 8.
Trong mặt phẳng tọa độ Oxy cho tứ giác ABCD nội tiếp trong một đường tròn, biết A(-1;1), B(3;0), C(4; 3) và D(1; m). Tính các giá trị gần đúng của m?
Bài 9.
Tam giác ABC cạnh AB=8, BC=10, AC=6, M là trung điểm cạnh AB, P là điểm nằm trên cạnh BC. Tính gần đúng giá trị bé nhất của AP + PM.
Bài 10.
Trong mặt phẳng tọa độ Oxy cho A(1; 3), B(–2; 1), C(–1; –3). Tập hợp các điểm M thỏa mãn điều kiện MA2 + MB2 + MC2 = 100 là một đường tròn. Tính giá trị gần đúng của tọa độ tâm và bán kính của đường tròn đó.